Официальное опубликование правовых актов
ОФИЦИАЛЬНОЕ ОПУБЛИКОВАНИЕ
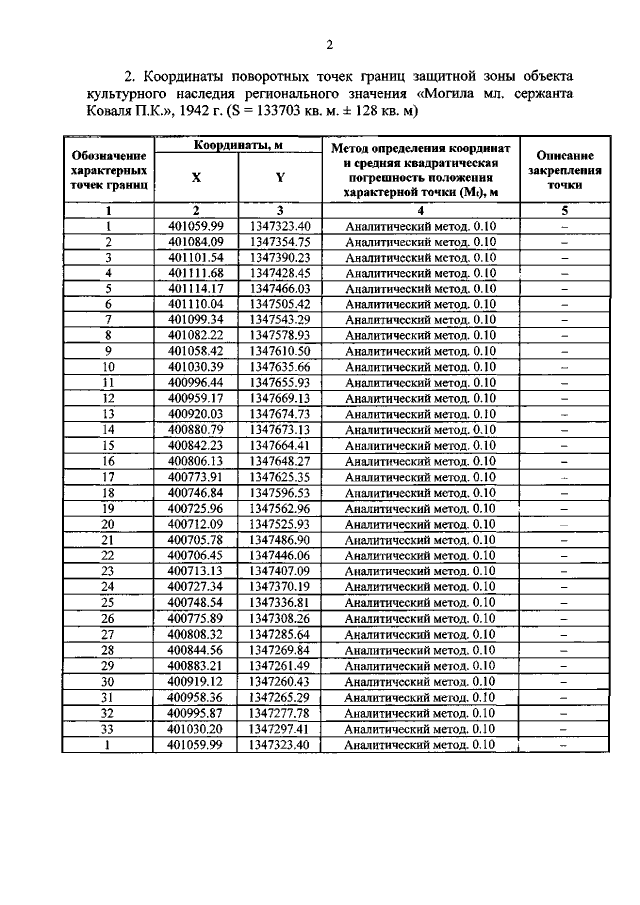
Приказ Управления Администрации Курской области по охране объектов культурного наследия от 06.10.2020 № 222-п
"Об утверждении графического описания местоположения границ защитной зоны объекта культурного наследия регионального значения "Могила мл. сержанта Коваля П.К."‚ 1942 г. (Курская область, Солнцевский район, д. Стародубцево)"
Номер опубликования: 4601202010080001
Дата опубликования: 08.10.2020
Страница №3 из 4:
Увеличить