Официальное опубликование правовых актов
ОФИЦИАЛЬНОЕ ОПУБЛИКОВАНИЕ
Приказ Управления Администрации Курской области по охране объектов культурного наследия от 16.09.2020 № 198-п
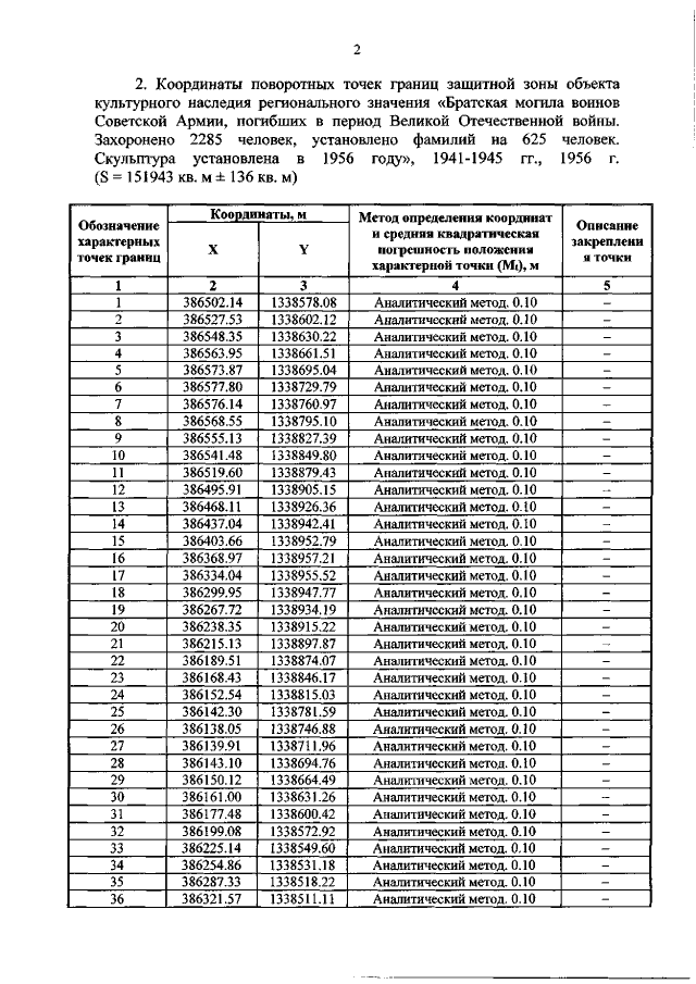
"Об утверждении графического описания местоположения границ защитной зоны объекта культурного наследия регионального значения "Братская могила воинов Советской Армии, погибших в период Великой Отечественной войны. Захоронено 2285 человек, установлено фамилий на 625 человек. Скульптура установлена в 1956 году", 1941-1945 гг.‚ 1956 г. (Курская область, Солнцевский район, пос. Солнцево (в саду средней школы)"
Номер опубликования: 4601202009170006
Дата опубликования: 17.09.2020
Страница №3 из 5:
Увеличить