Официальное опубликование правовых актов
ОФИЦИАЛЬНОЕ ОПУБЛИКОВАНИЕ
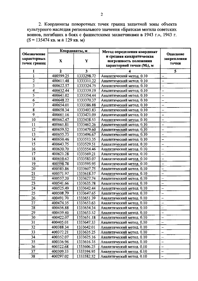
Приказ Управления Администрации Курской области по охране объектов культурного наследия от 16.09.2020 № 196-п
"Об утверждении графического описания местоположения границ защитной зоны объекта культурного наследия регионального значения "Братская могила советских воинов, погибших в боях с фашистскими захватчиками в 1943 г."‚ 1943 г. (Курская область, Солнцевский район, с. Бунино, улица Центральная)"
Номер опубликования: 4601202009170003
Дата опубликования: 17.09.2020
Страница №3 из 5:
Увеличить