Официальное опубликование правовых актов
ОФИЦИАЛЬНОЕ ОПУБЛИКОВАНИЕ
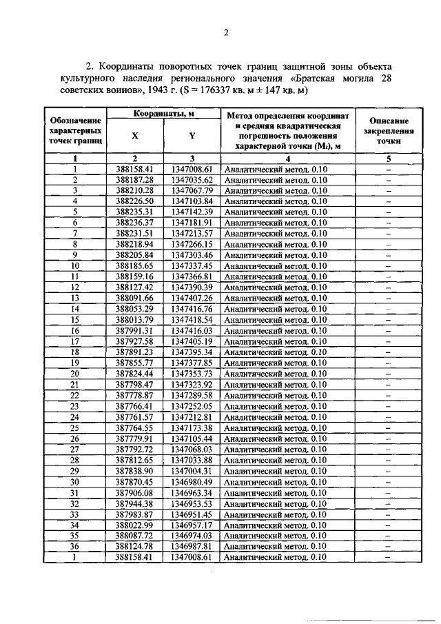
Приказ Управления Администрации Курской области по охране объектов культурного наследия от 16.09.2020 № 194-п
"Об утверждении графического описания местоположения границ защитной зоны объекта культурного наследия регионального значения "Братская могила 28 советских воинов", 1943 г. (Курская область, Солнцевский район, с. Субботино)"
Номер опубликования: 4601202009170002
Дата опубликования: 17.09.2020
Страница №3 из 4:
Увеличить