Официальное опубликование правовых актов
ОФИЦИАЛЬНОЕ ОПУБЛИКОВАНИЕ
Постановление Правительства Курской области от 16.04.2026 № 284-пп
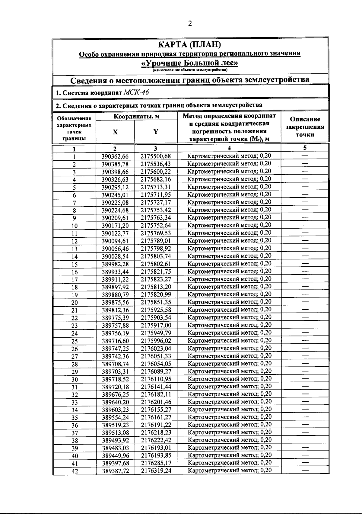
"О памятнике природы регионального значения "Урочище Большой лес"
Номер опубликования: 4600202604210001
Дата опубликования: 21.04.2026
Страница №16 из 17:
Увеличить