Официальное опубликование правовых актов
ОФИЦИАЛЬНОЕ ОПУБЛИКОВАНИЕ
Постановление Правительства Курской области от 30.12.2025 № 1073-пп
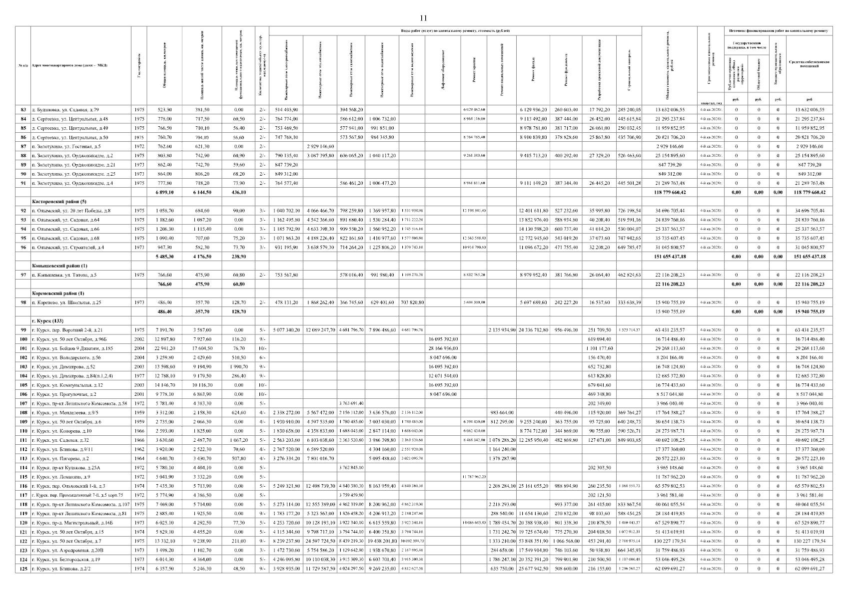
"О внесении изменений в краткосрочный план реализации Региональной программы капитального ремонта общего имущества в многоквартирных домах, расположенных на территории Курской области, на 2026—2028 годы"
Номер опубликования: 4600202512300031
Дата опубликования: 30.12.2025
Страница №12 из 26:
Увеличить