Официальное опубликование правовых актов
ОФИЦИАЛЬНОЕ ОПУБЛИКОВАНИЕ
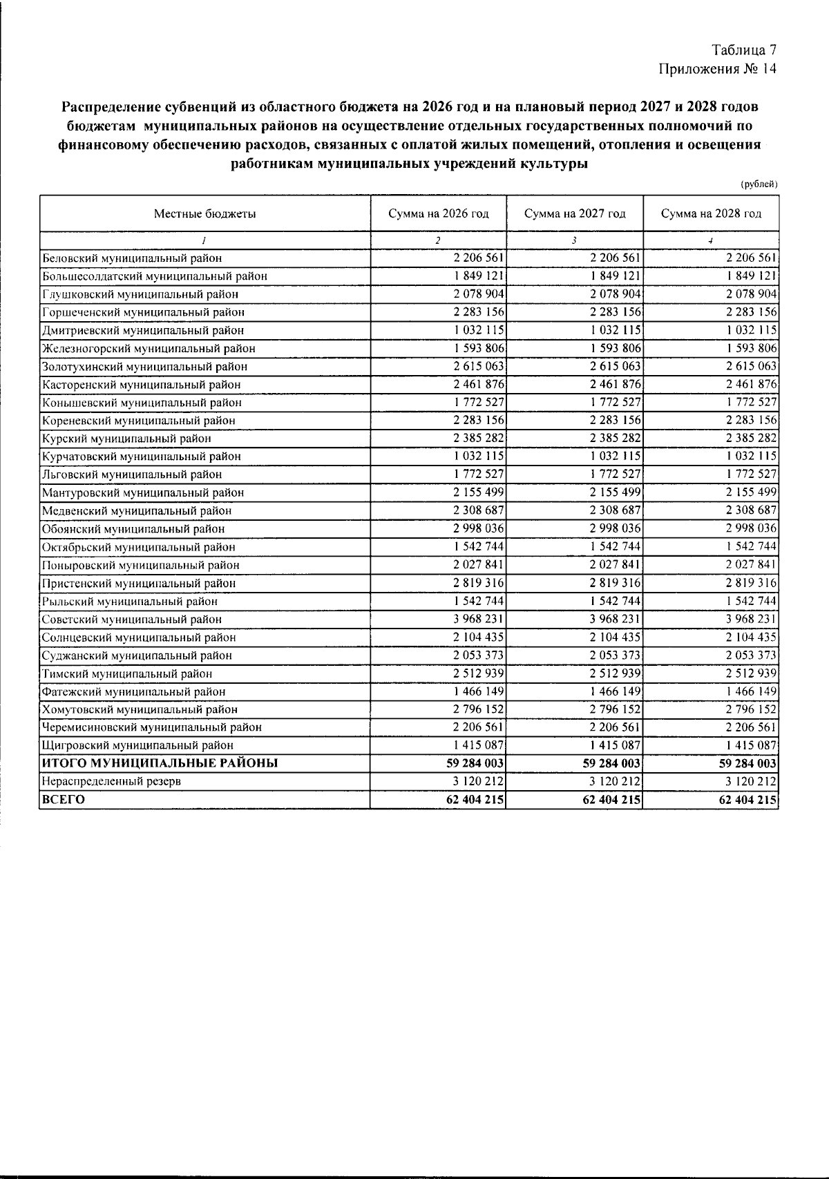
Закон Курской области от 12.12.2025 № 84-ЗКО
"Об областном бюджете на 2026 год и на плановый период 2027 и 2028 годов"
Номер опубликования: 4600202512170012
Дата опубликования: 17.12.2025
Страница №435 из 499:
Увеличить