Официальное опубликование правовых актов
ОФИЦИАЛЬНОЕ ОПУБЛИКОВАНИЕ
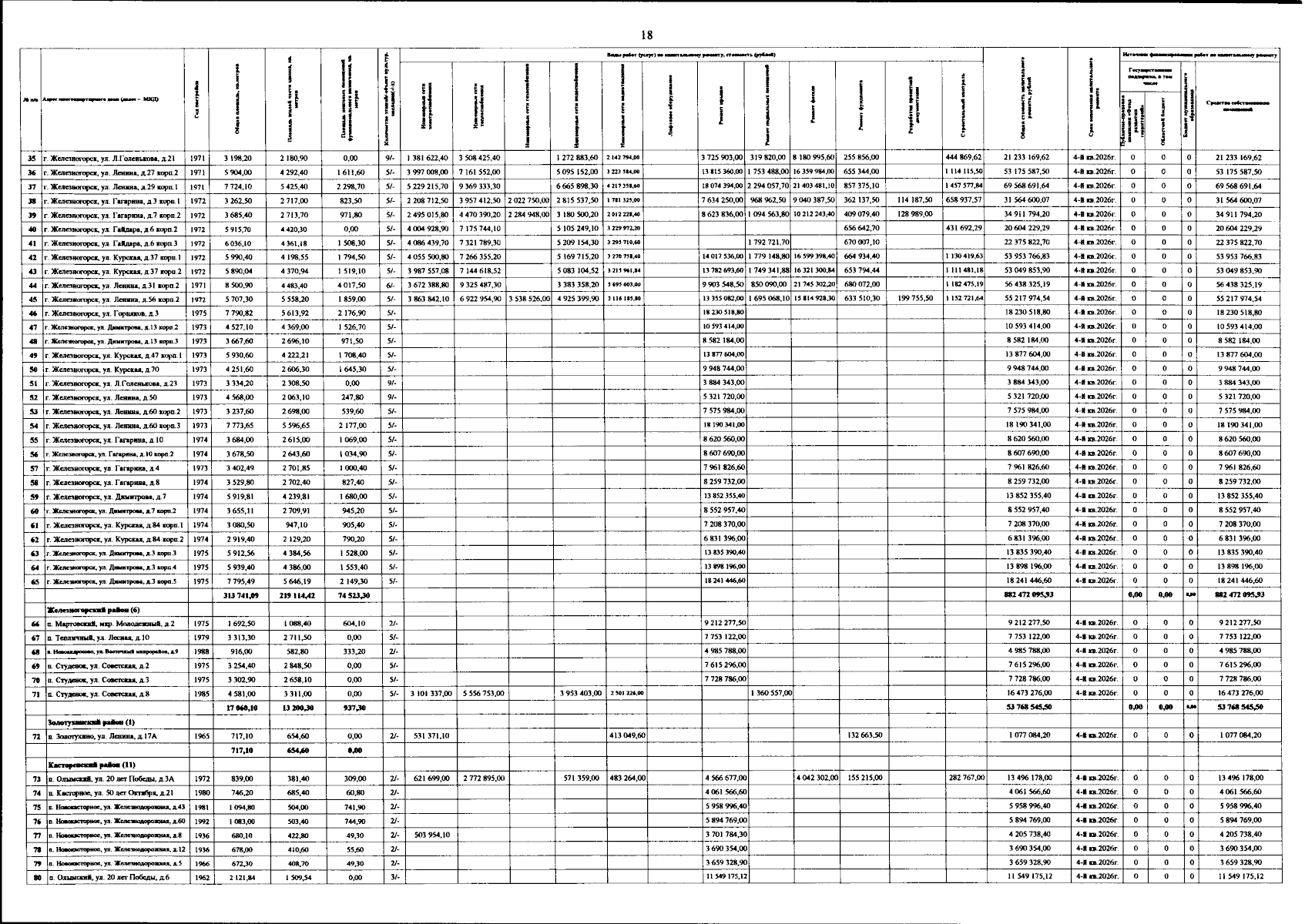
Постановление Правительства Курской области от 21.11.2025 № 863-пп
"О внесении изменений в краткосрочный план реализации Региональной программы капитального ремонта общего имущества в многоквартирных домах, расположенных на территории Курской области, на 2023 — 2025 годы"
Номер опубликования: 4600202511280009
Дата опубликования: 28.11.2025
Страница №19 из 27:
Увеличить