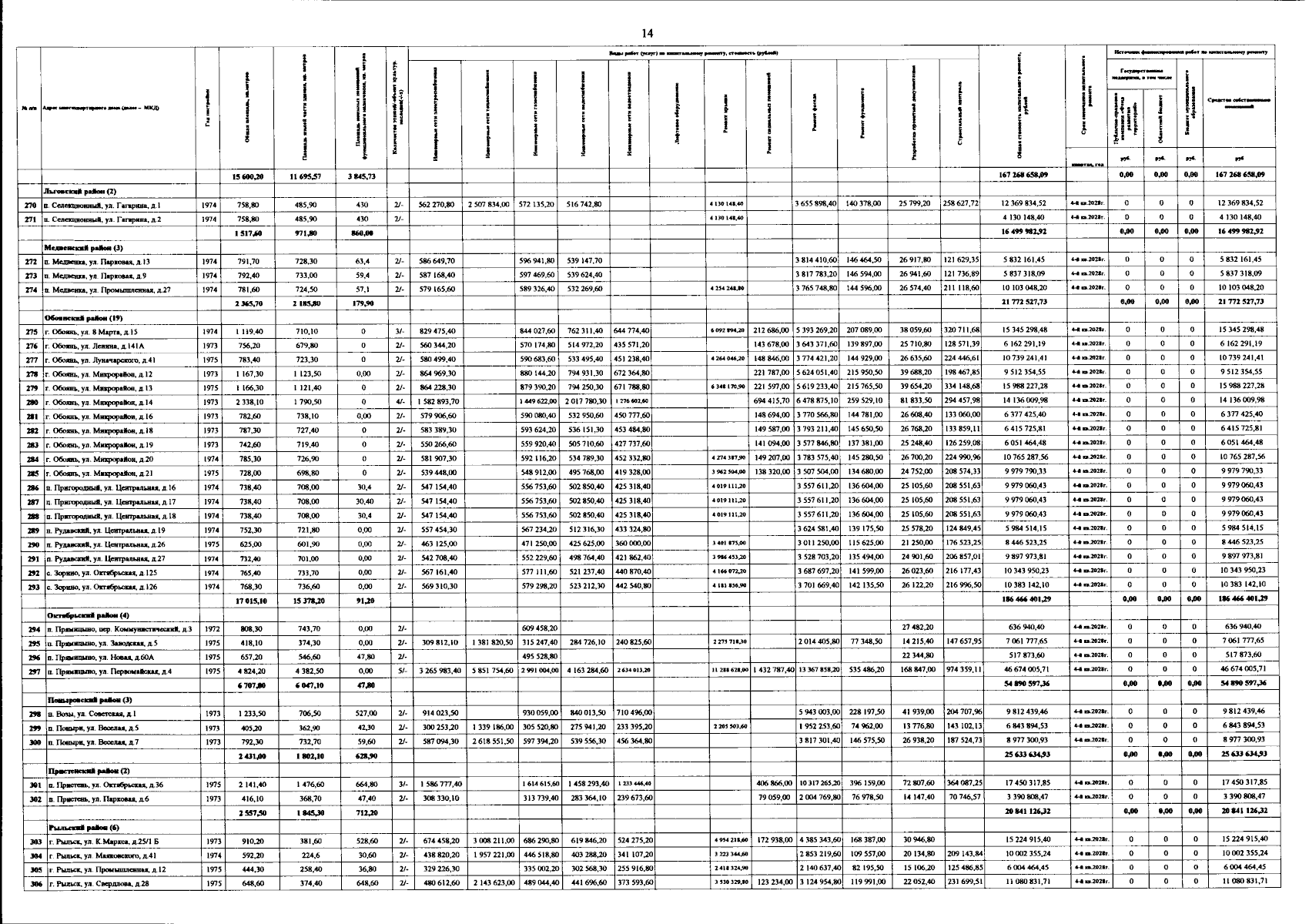
Постановление Правительства Курской области от 21.11.2025 № 864-пп
"О внесении изменений в краткосрочный план реализации Региональной программы капитального ремонта общего имущества в многоквартирных домах, расположенных на территории Курской области, на 2026 — 2028 годы"
"О внесении изменений в краткосрочный план реализации Региональной программы капитального ремонта общего имущества в многоквартирных домах, расположенных на территории Курской области, на 2026 — 2028 годы"
Номер опубликования: 4600202511270002
Дата опубликования:
27.11.2025
