Официальное опубликование правовых актов
ОФИЦИАЛЬНОЕ ОПУБЛИКОВАНИЕ
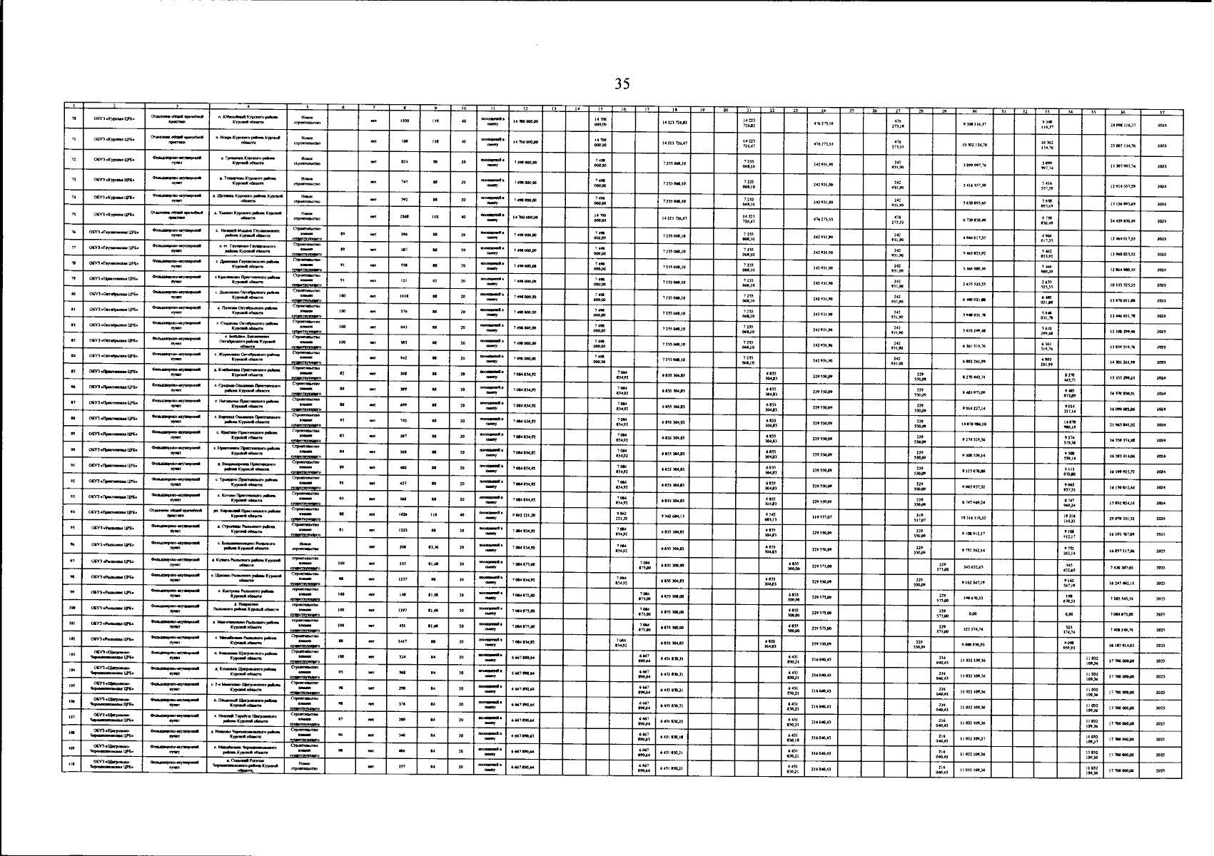
Постановление Правительства Курской области от 13.10.2025 № 735-пп
"О внесении изменений в постановление Администрации Курской области от 14.12.2020 № 1292-па"
Номер опубликования: 4600202510150014
Дата опубликования: 15.10.2025
Страница №36 из 41:
Увеличить