Официальное опубликование правовых актов
ОФИЦИАЛЬНОЕ ОПУБЛИКОВАНИЕ
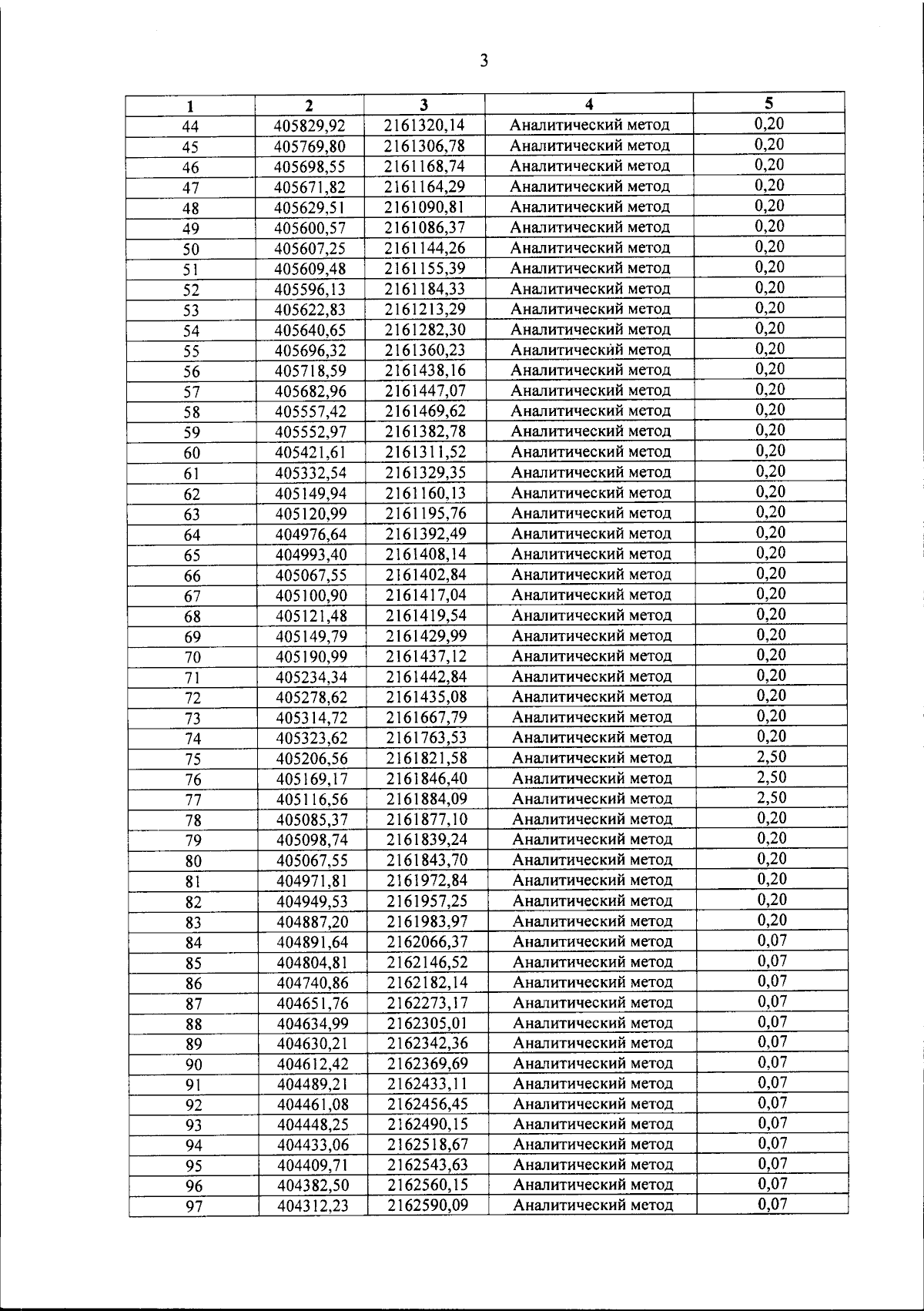
Постановление Губернатора Курской области от 06.10.2025 № 237-пг
"Об установлении охранной зоны памятника природы регионального значения "Урочище Заломное"
Номер опубликования: 4600202510130004
Дата опубликования: 13.10.2025
Страница №7 из 12:
Увеличить