Официальное опубликование правовых актов
ОФИЦИАЛЬНОЕ ОПУБЛИКОВАНИЕ
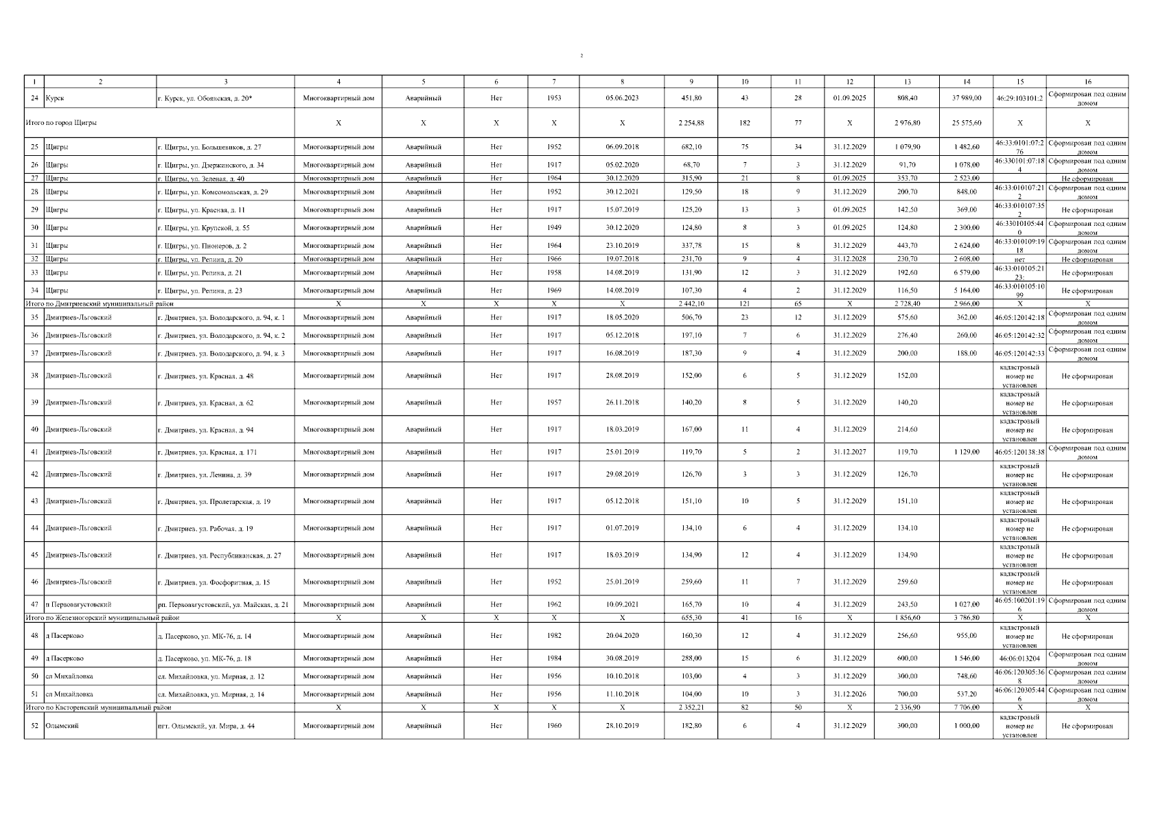
Постановление Правительства Курской области от 06.10.2025 № 720-пп
"О внесении изменений в постановление Правительства Курской области от 29.04.2025 № 325-пп"
Номер опубликования: 4600202510090007
Дата опубликования: 09.10.2025
Страница №27 из 41:
Увеличить