Официальное опубликование правовых актов
ОФИЦИАЛЬНОЕ ОПУБЛИКОВАНИЕ
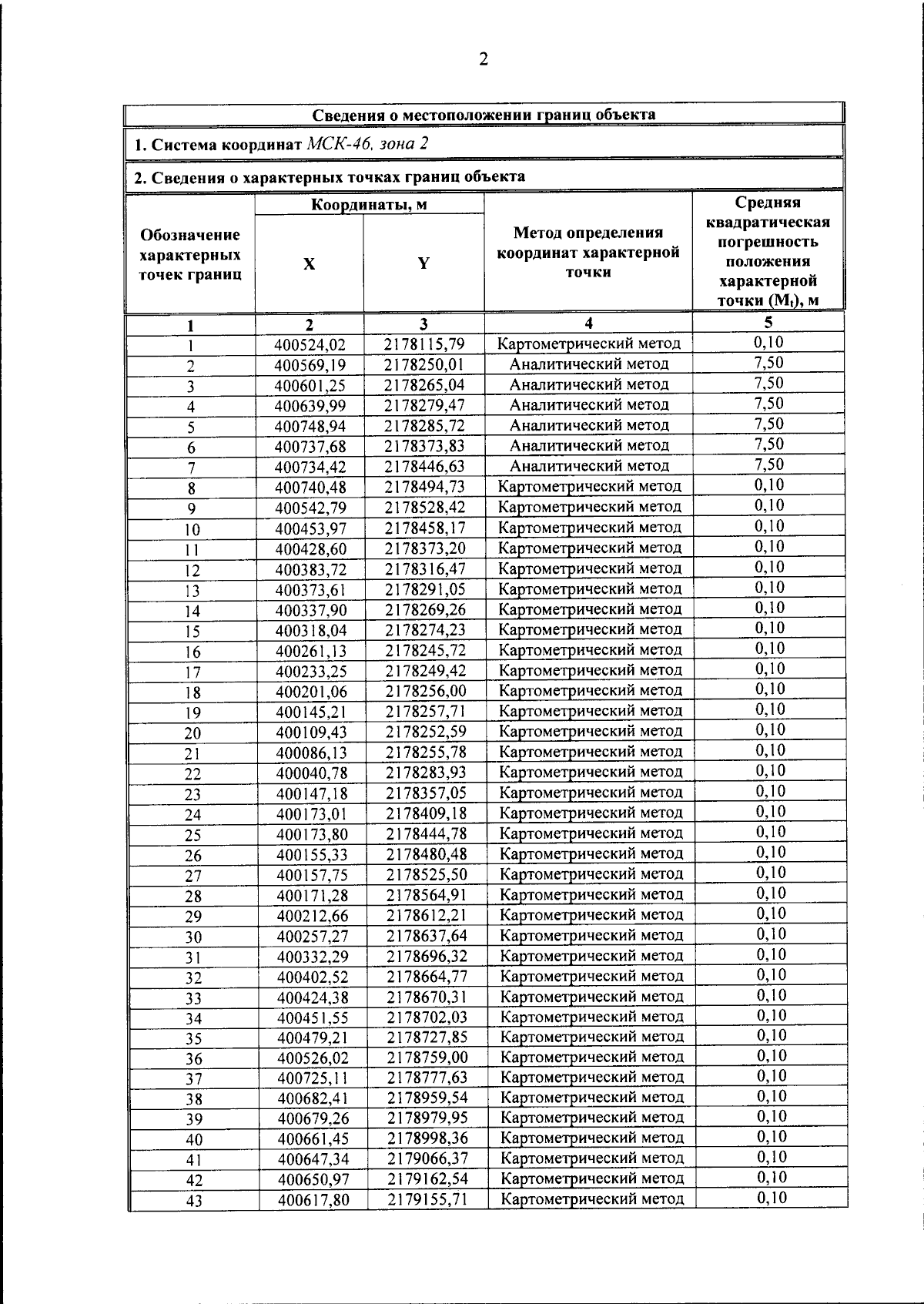
Постановление Губернатора Курской области от 11.09.2025 № 220-пг
"Об установлении охранной зоны памятника природы регионального значения "Степные холмы и пойма реки Рогозец близ села Безлепкино"
Номер опубликования: 4600202509170003
Дата опубликования: 17.09.2025
Страница №7 из 11:
Увеличить