Официальное опубликование правовых актов
ОФИЦИАЛЬНОЕ ОПУБЛИКОВАНИЕ
Постановление Губернатора Курской области от 05.09.2025 № 217-пг
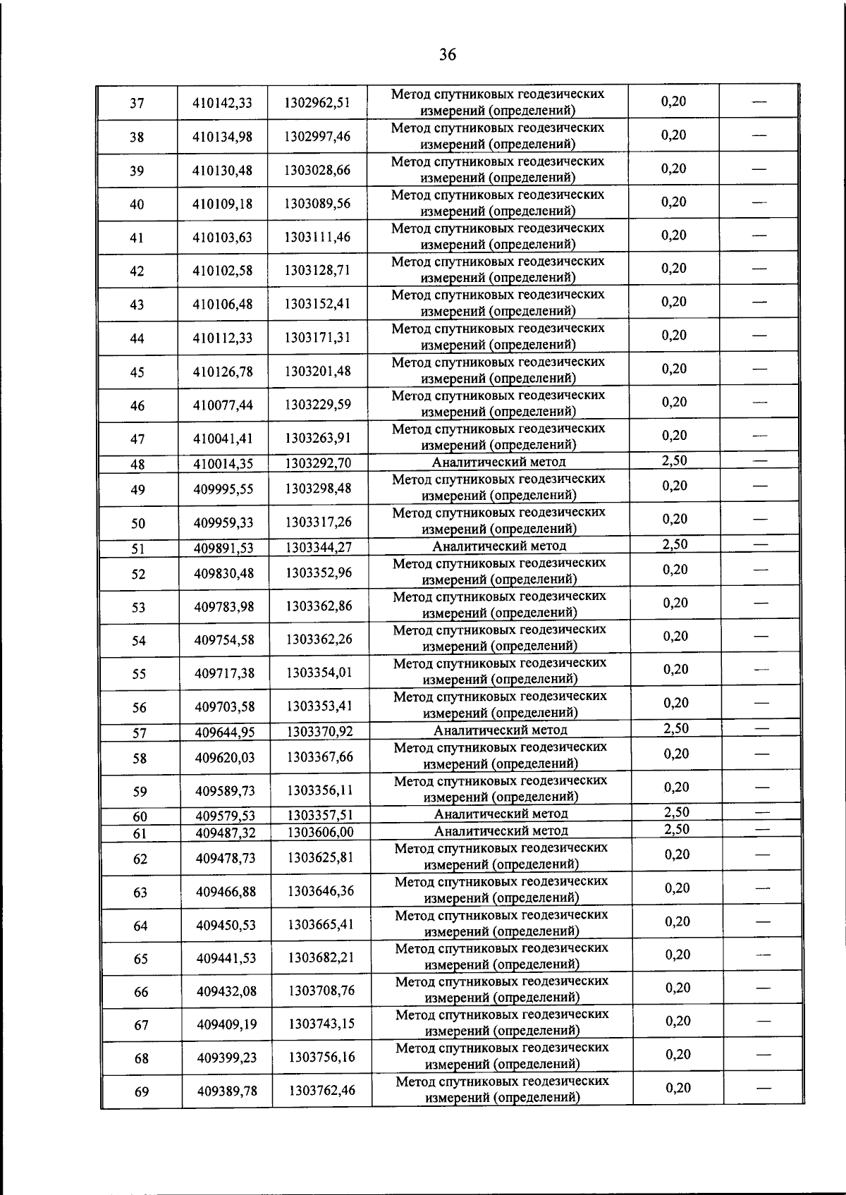
"О внесении изменений в постановление Губернатора Курской области от 14.09.2023 № 286-пг "Об установлении охранной зоны памятника природы регионального значения "Балка Калинов лог"
Номер опубликования: 4600202509090003
Дата опубликования: 09.09.2025
Страница №37 из 58:
Увеличить