Официальное опубликование правовых актов
ОФИЦИАЛЬНОЕ ОПУБЛИКОВАНИЕ
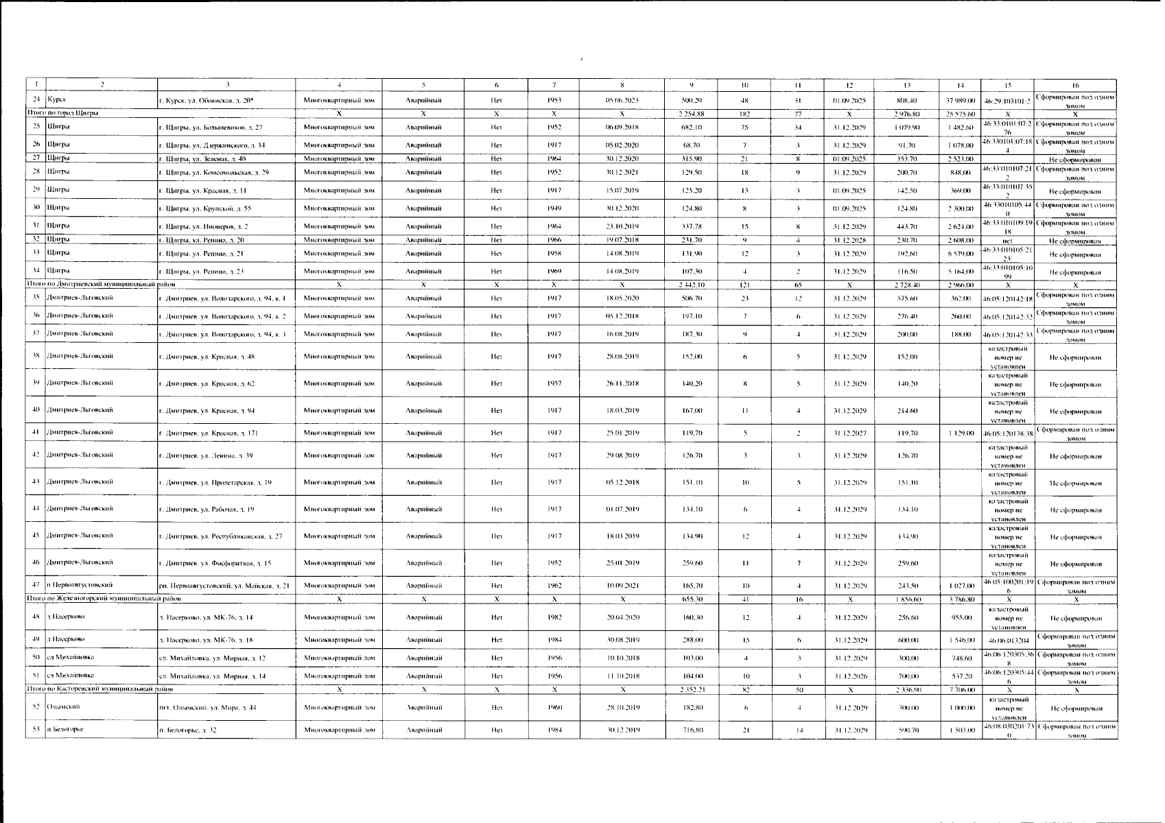
Постановление Правительства Курской области от 14.08.2025 № 590-пп
"О внесении изменений в постановление Правительства Курской области от 29.04.2025 № 325-пп"
Номер опубликования: 4600202508150001
Дата опубликования: 15.08.2025
Страница №27 из 41:
Увеличить