Официальное опубликование правовых актов
ОФИЦИАЛЬНОЕ ОПУБЛИКОВАНИЕ
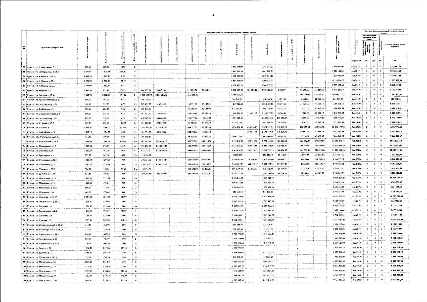
Постановление Правительства Курской области от 07.08.2025 № 570-пп
"О внесении изменений в краткосрочный план реализации Региональной программы капитального ремонта общего имущества в многоквартирных домах, расположенных на территории Курской области, на 2017— 2019 годы"
Номер опубликования: 4600202508130022
Дата опубликования: 13.08.2025
Страница №4 из 15:
Увеличить