Официальное опубликование правовых актов
ОФИЦИАЛЬНОЕ ОПУБЛИКОВАНИЕ
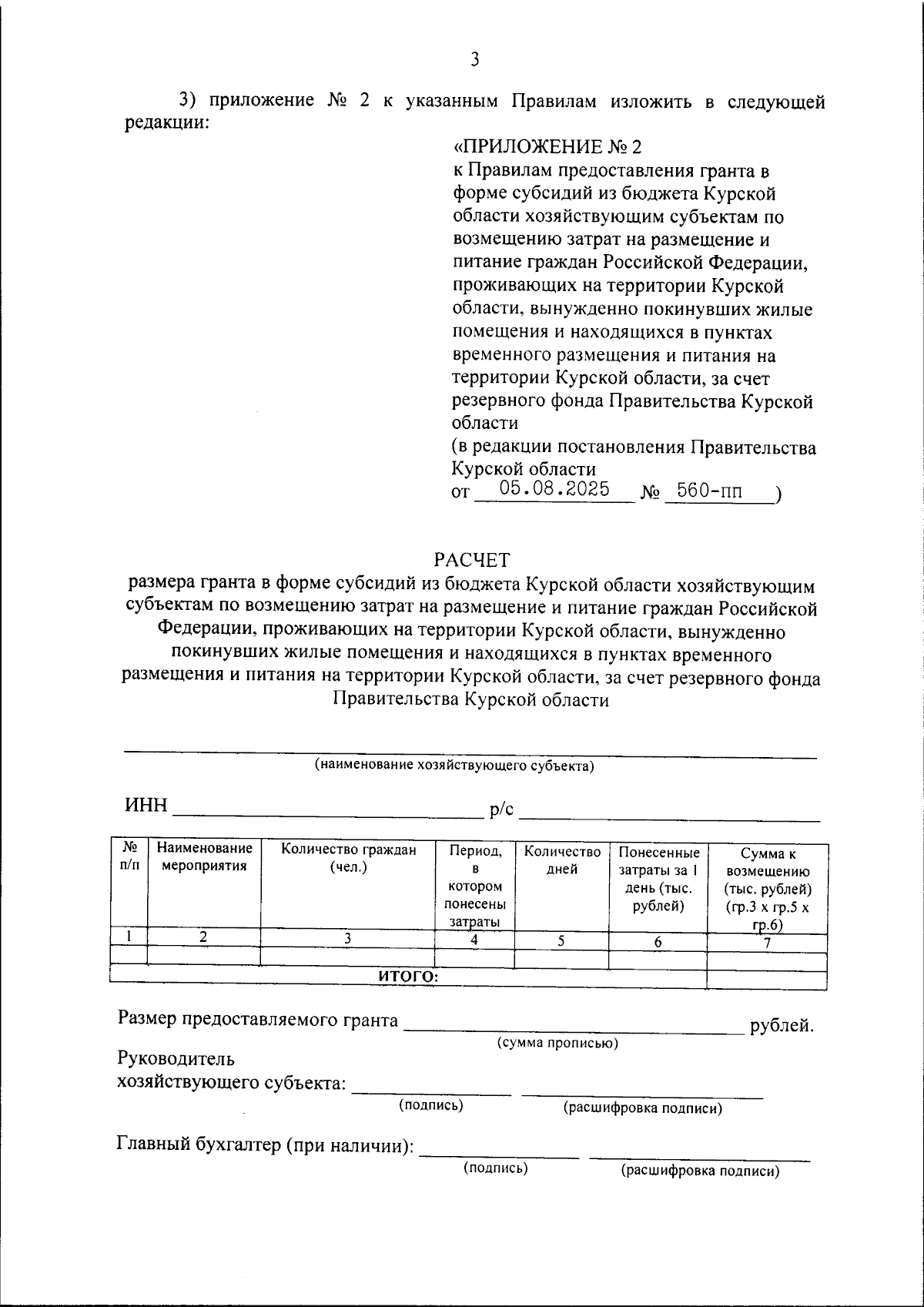
Постановление Правительства Курской области от 05.08.2025 № 560-пп
"О внесении изменений в постановление Правительства Курской области от 14.05.2025 № 352-пп "Об утверждении Правил предоставления гранта в форме субсидий из бюджета Курской области хозяйствующим субъектам по возмещению затрат на размещение и питание граждан Российской Федерации, иностранных граждан и лиц без гражданства, постоянно проживающих на территории Курской области, вынужденно покинувших жилые помещения и находящихся в пунктах временного размещения и питания на территории Курской области, за счет резервного фонда Правительства Курской области"
Номер опубликования: 4600202508110017
Дата опубликования: 11.08.2025
Страница №4 из 5:
Увеличить