Официальное опубликование правовых актов
ОФИЦИАЛЬНОЕ ОПУБЛИКОВАНИЕ
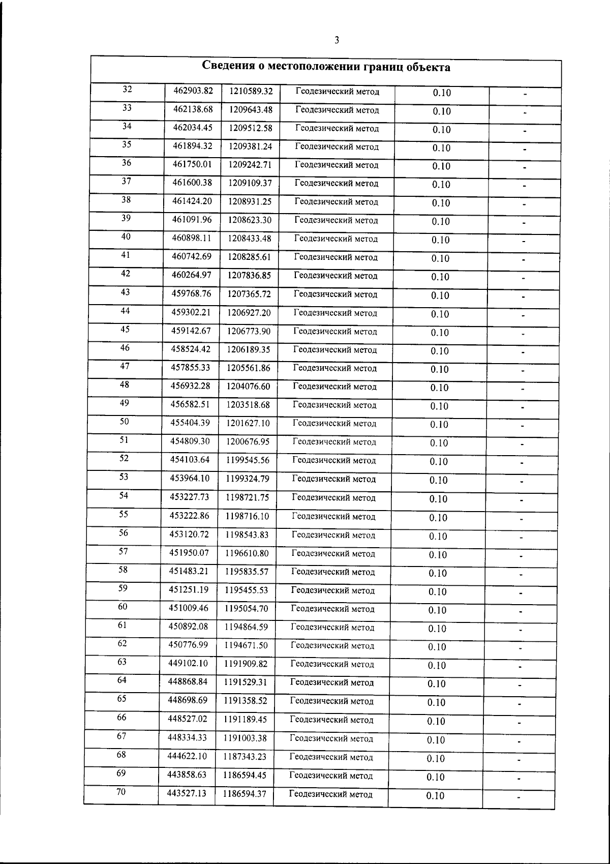
Постановление Правительства Курской области от 05.06.2025 № 410-пп
"Об установлении публичного сервитута для использования земельных участков в целях эксплуатации существующего объекта энергетики"
Номер опубликования: 4600202506110009
Дата опубликования: 11.06.2025
Страница №10 из 61:
Увеличить