Официальное опубликование правовых актов
ОФИЦИАЛЬНОЕ ОПУБЛИКОВАНИЕ
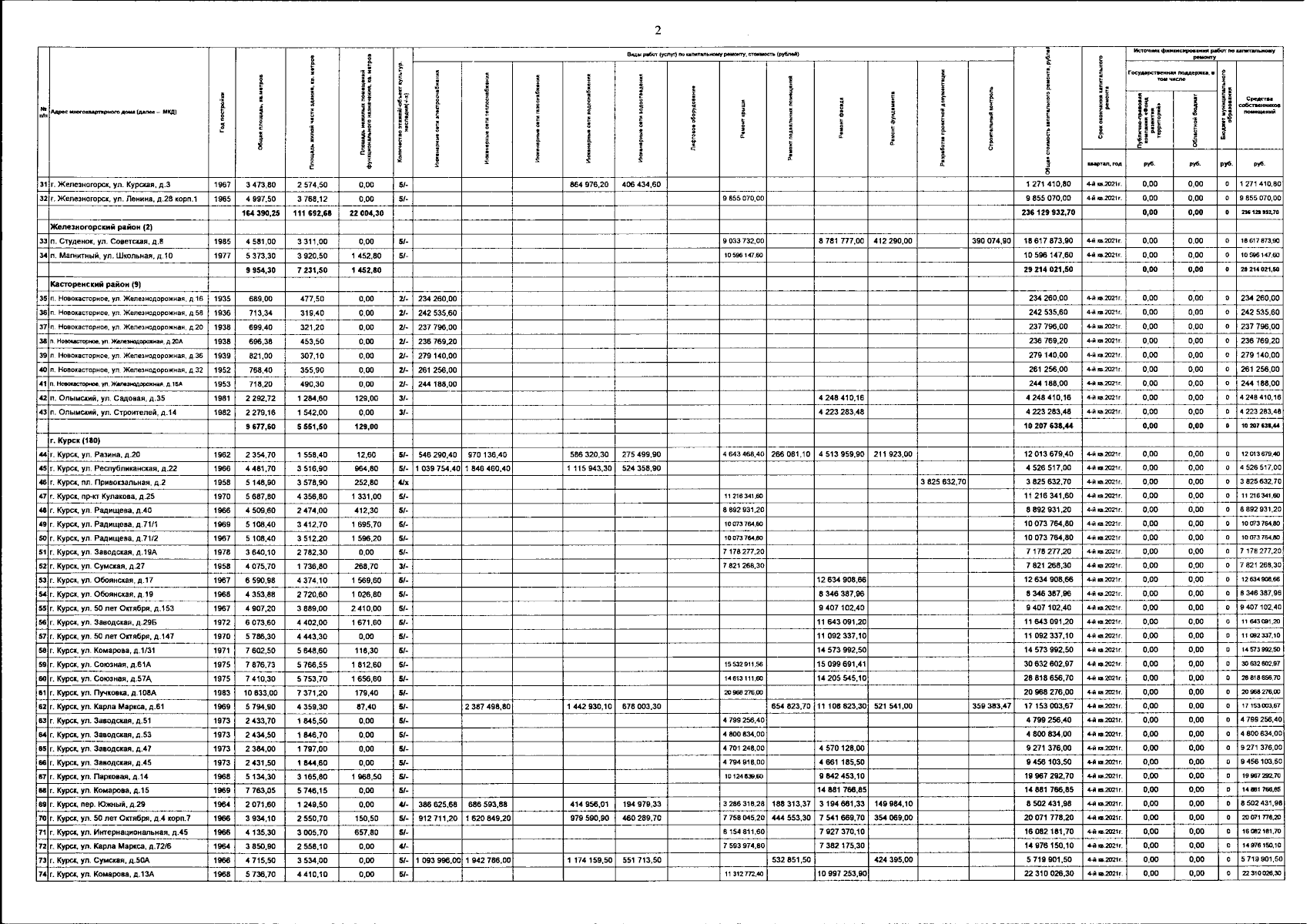
Постановление Правительства Курской области от 16.05.2025 № 359-пп
"О внесении изменений в краткосрочный план реализации Региональной программы капитального ремонта общего имущества в многоквартирных домах, расположенных на территории Курской области, на 2020 — 2022 годы"
Номер опубликования: 4600202505230005
Дата опубликования: 23.05.2025
Страница №4 из 18:
Увеличить