Постановление Губернатора Курской области от 21.01.2025 № 9-пг
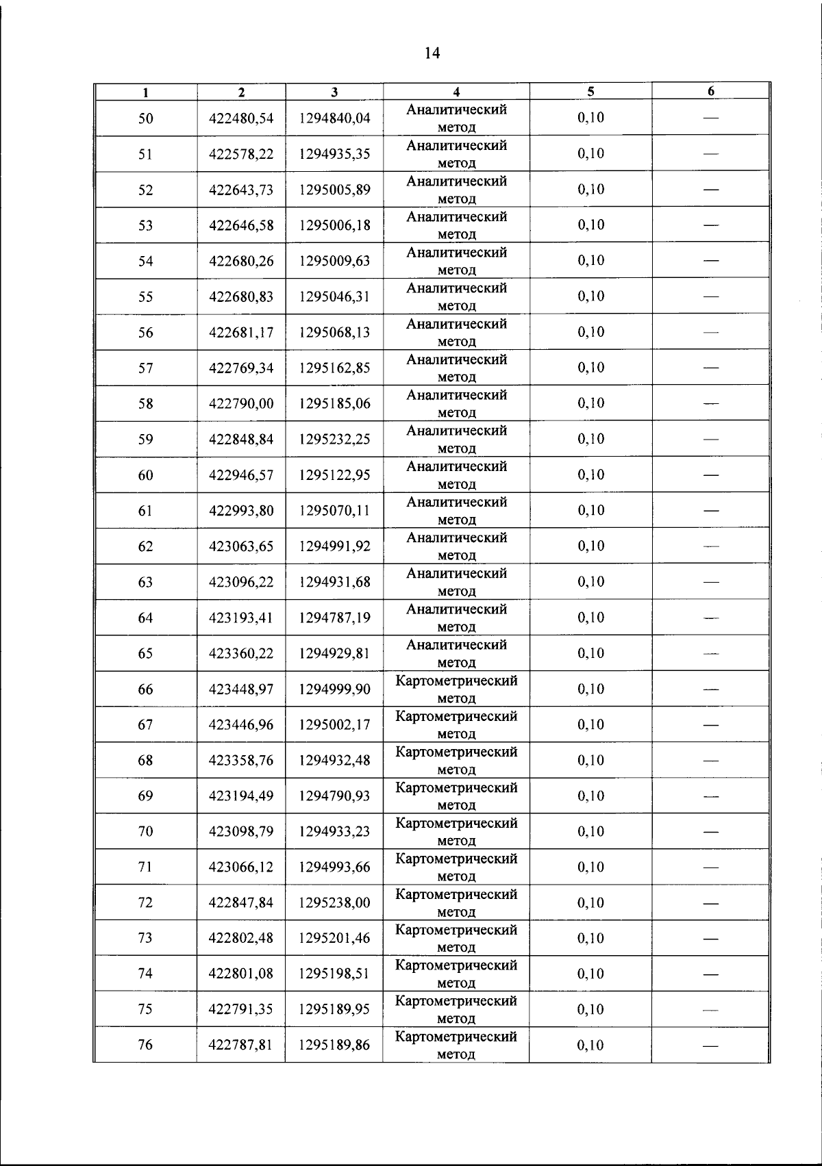
"Об установлении охранной зоны памятника природы регионального значения "Урочище "Крутой Лог"
"Об установлении охранной зоны памятника природы регионального значения "Урочище "Крутой Лог"
Номер опубликования: 4600202501270005
Дата опубликования:
27.01.2025
