Официальное опубликование правовых актов
ОФИЦИАЛЬНОЕ ОПУБЛИКОВАНИЕ
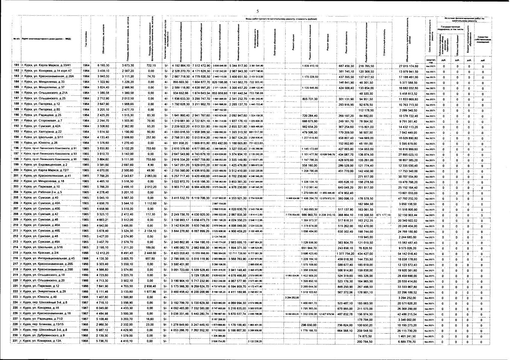
Постановление Правительства Курской области от 28.12.2024 № 1216-пп
"Об утверждении краткосрочного плана реализации Региональной программы капитального ремонта общего имущества в многоквартирных домах, расположенных на территории Курской области, на 2026 - 2028 годы"
Номер опубликования: 4600202501020017
Дата опубликования: 02.01.2025
Страница №6 из 26:
Увеличить