Официальное опубликование правовых актов
ОФИЦИАЛЬНОЕ ОПУБЛИКОВАНИЕ
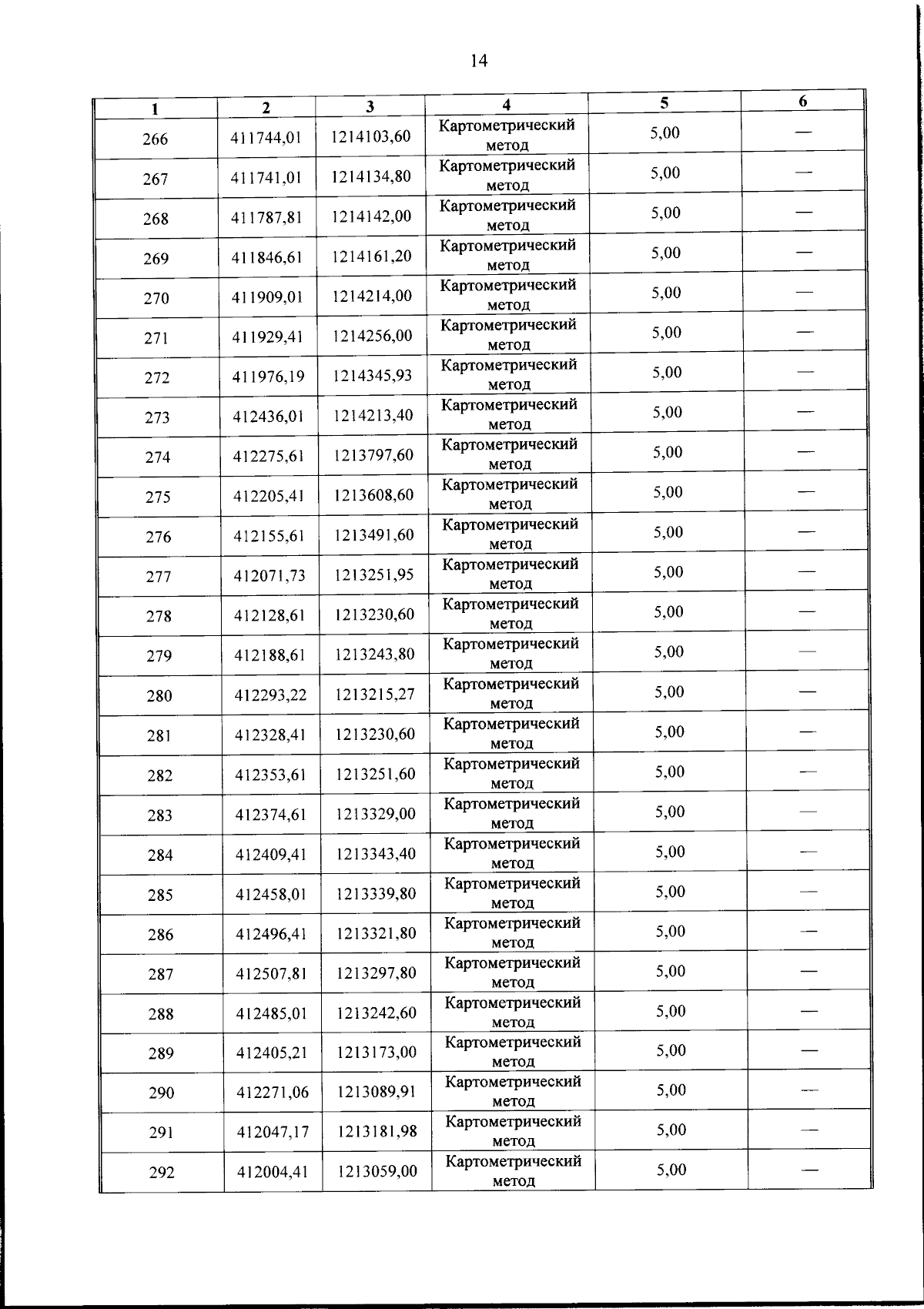
Постановление Губернатора Курской области от 23.12.2024 № 312-пг
"Об установлении охранной зоны памятника природы регионального значения "Банищанский лес"
Номер опубликования: 4600202412270029
Дата опубликования: 27.12.2024
Страница №18 из 35:
Увеличить