Официальное опубликование правовых актов
ОФИЦИАЛЬНОЕ ОПУБЛИКОВАНИЕ
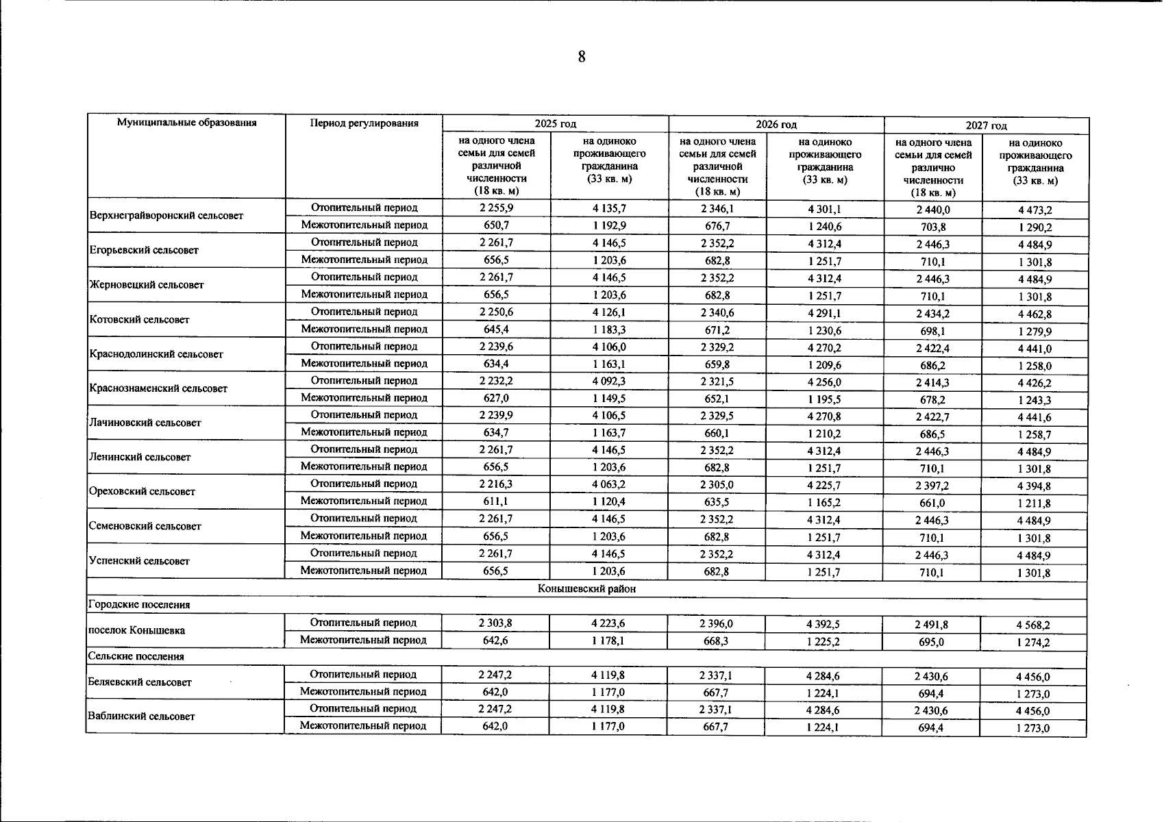
Постановление Правительства Курской области от 23.12.2024 № 1108-пп
"Об областных стандартах стоимости жилищно-коммунальных услуг на 2025-2027 годы"
Номер опубликования: 4600202412270024
Дата опубликования: 27.12.2024
Страница №35 из 153:
Увеличить