Официальное опубликование правовых актов
ОФИЦИАЛЬНОЕ ОПУБЛИКОВАНИЕ
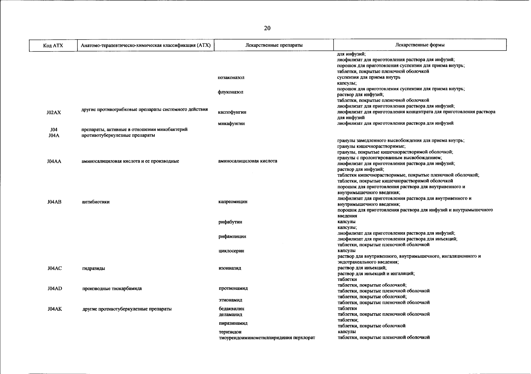
Постановление Правительства Курской области от 26.12.2024 № 1199-пп
"Об утверждении территориальной программы государственных гарантий бесплатного оказания гражданам медицинской помощи в Курской области на 2025 год и на плановый период 2026 и 2027 годов"
Номер опубликования: 4600202412270003
Дата опубликования: 27.12.2024
Страница №124 из 147:
Увеличить