Официальное опубликование правовых актов
ОФИЦИАЛЬНОЕ ОПУБЛИКОВАНИЕ
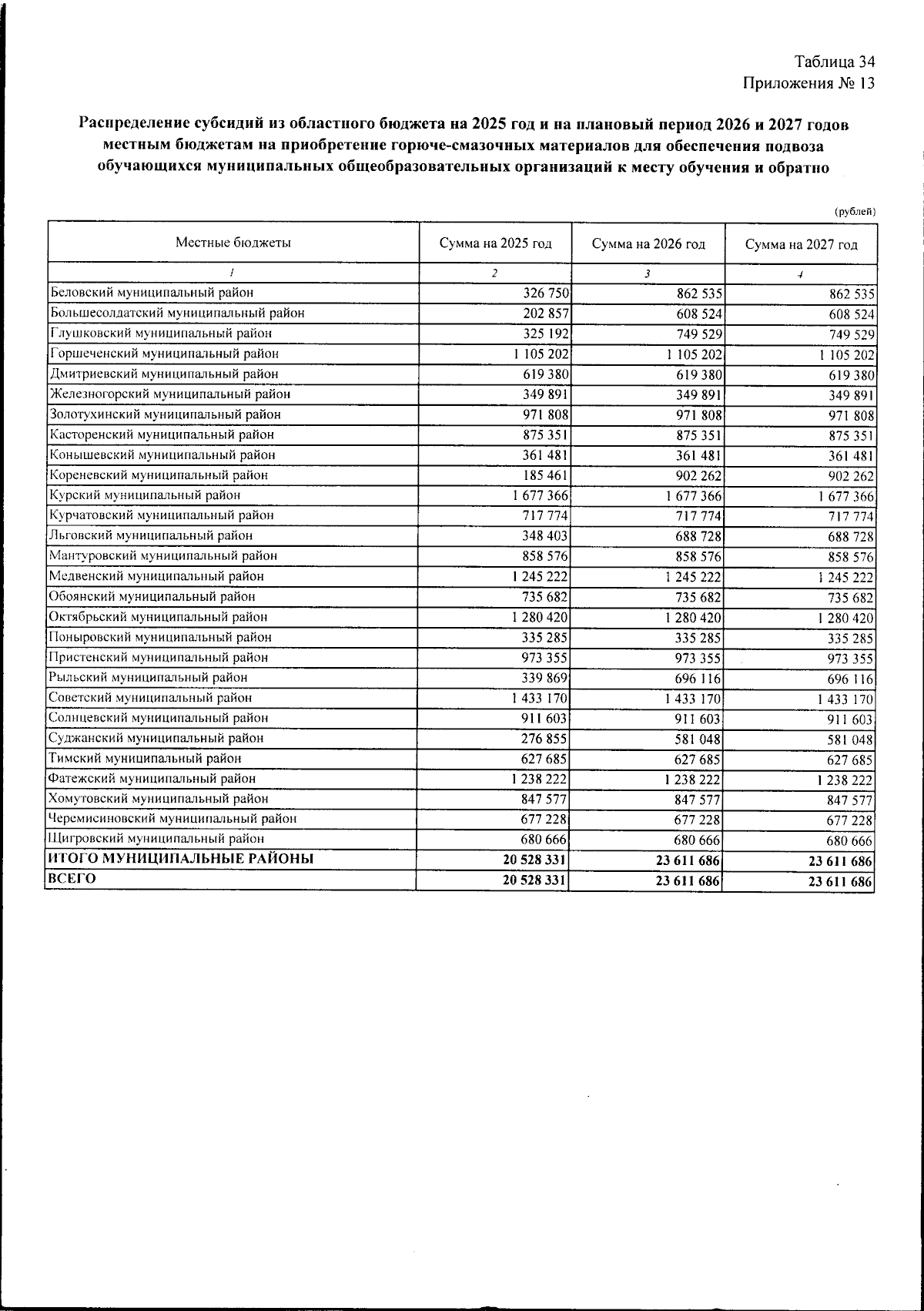
Закон Курской области от 16.12.2024 № 111-ЗКО
"Об областном бюджете на 2025 год и на плановый период 2026 и 2027 годов"
Номер опубликования: 4600202412180019
Дата опубликования: 18.12.2024
Страница №464 из 489:
Увеличить