Официальное опубликование правовых актов
ОФИЦИАЛЬНОЕ ОПУБЛИКОВАНИЕ
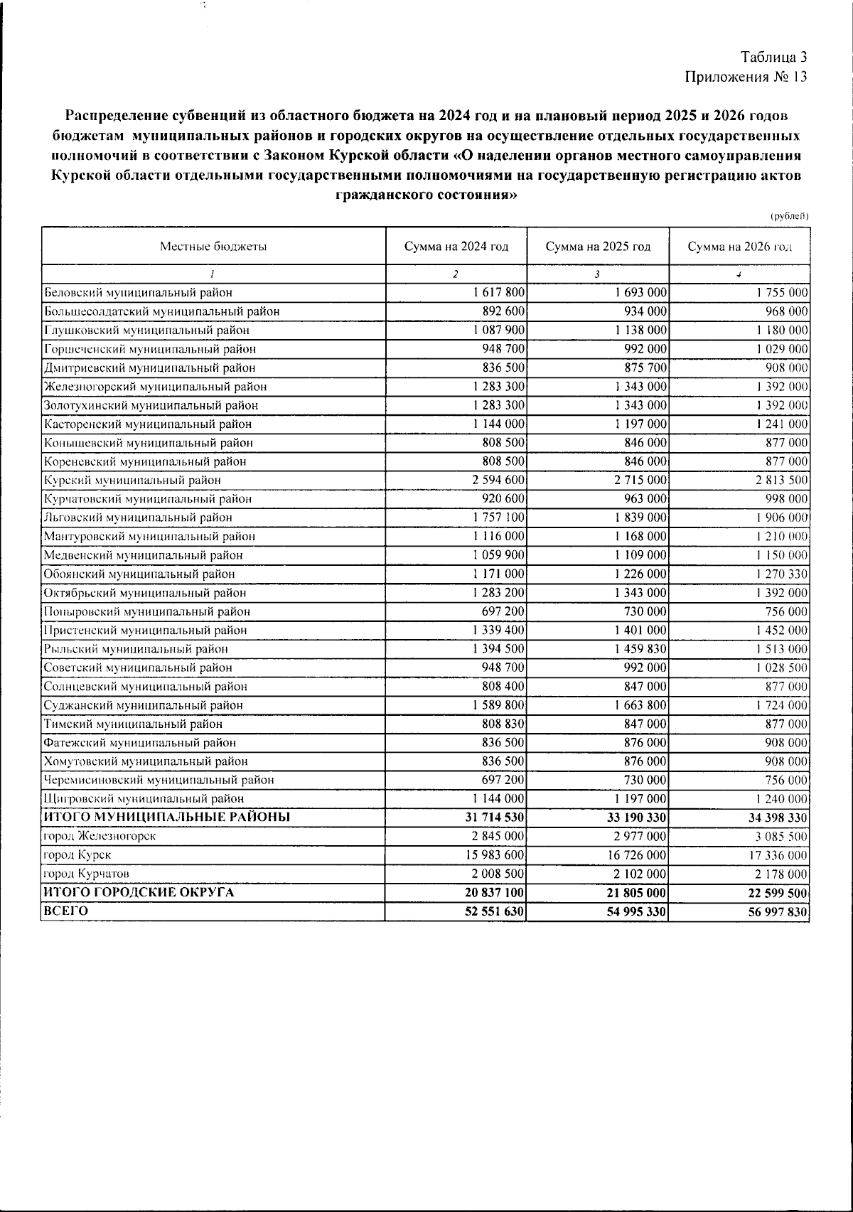
Закон Курской области от 04.12.2024 № 110-ЗКО
"О внесении изменений в Закон Курской области "Об областном бюджете на 2024 год и на плановый период 2025 и 2026 годов"
Номер опубликования: 4600202412090019
Дата опубликования: 09.12.2024
Страница №402 из 442:
Увеличить