Официальное опубликование правовых актов
ОФИЦИАЛЬНОЕ ОПУБЛИКОВАНИЕ
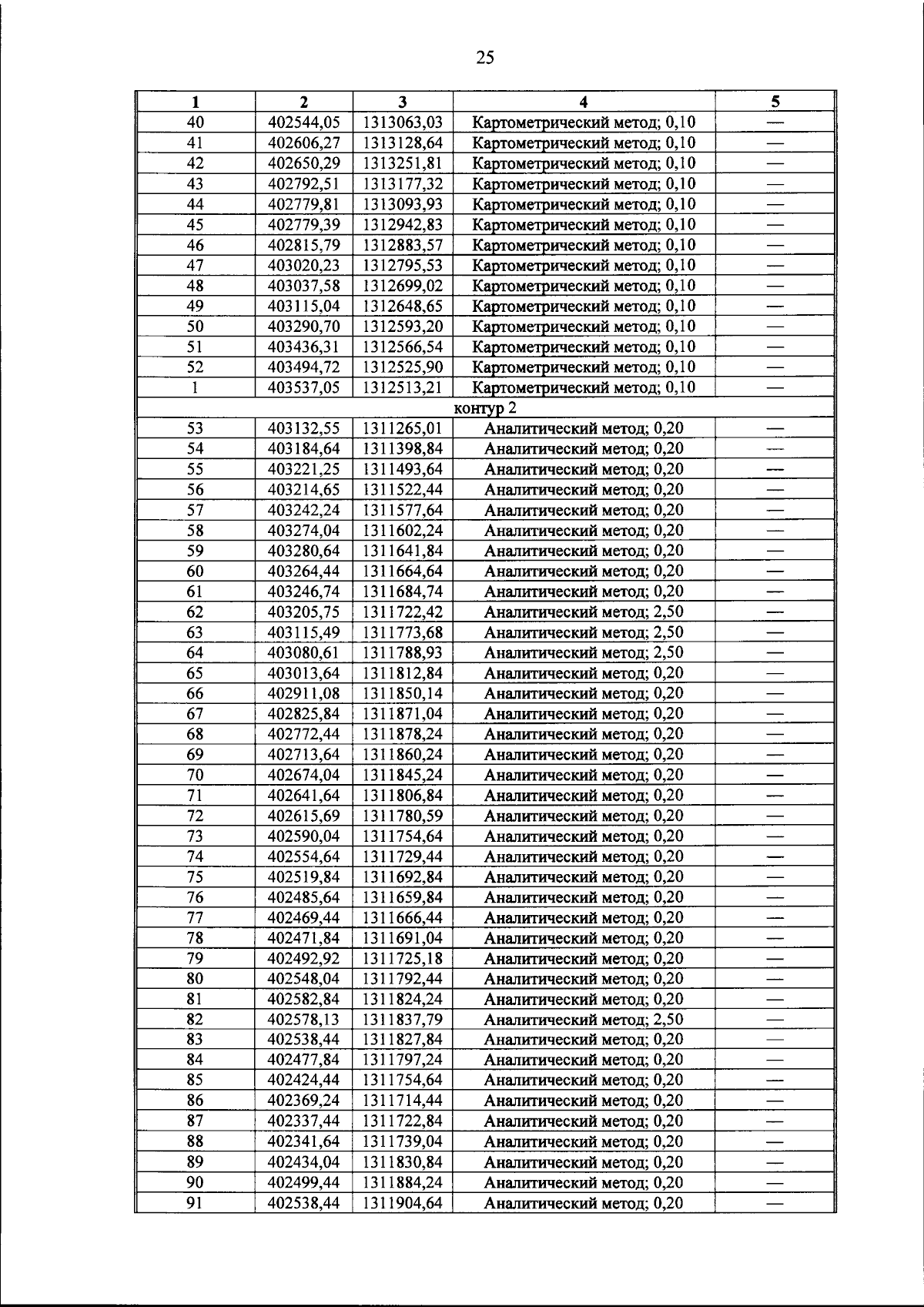
Постановление Правительства Курской области от 06.11.2024 № 910-пп
"О расширении территории памятника природы регионального значения "Колодный лог" и внесении изменений в постановление Администрации Курской области от 24.12.2020 № 1365-па"
Номер опубликования: 4600202411080005
Дата опубликования: 08.11.2024
Страница №26 из 28:
Увеличить