Официальное опубликование правовых актов
ОФИЦИАЛЬНОЕ ОПУБЛИКОВАНИЕ
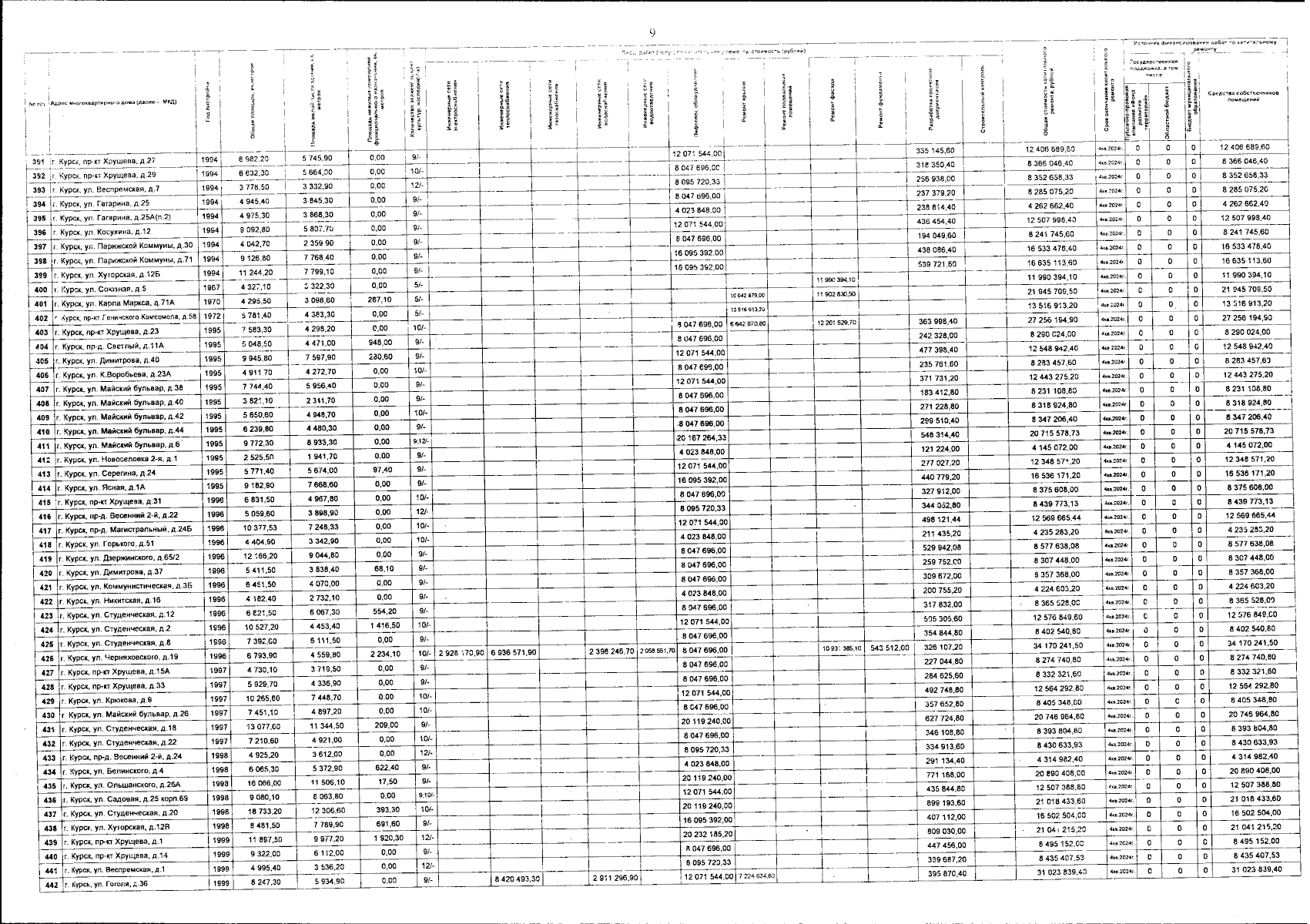
Постановление Правительства Курской области от 09.09.2024 № 743-пп
"О внесении изменений в краткосрочный план реализации Региональной программы капитального ремонта общего имущества в многоквартирных домах, расположенных на территории Курской области, на 2023 - 2025 годы"
Номер опубликования: 4600202409130002
Дата опубликования: 13.09.2024
Страница №10 из 33:
Увеличить