Официальное опубликование правовых актов
ОФИЦИАЛЬНОЕ ОПУБЛИКОВАНИЕ
Постановление Правительства Курской области от 30.07.2024 № 606-пп
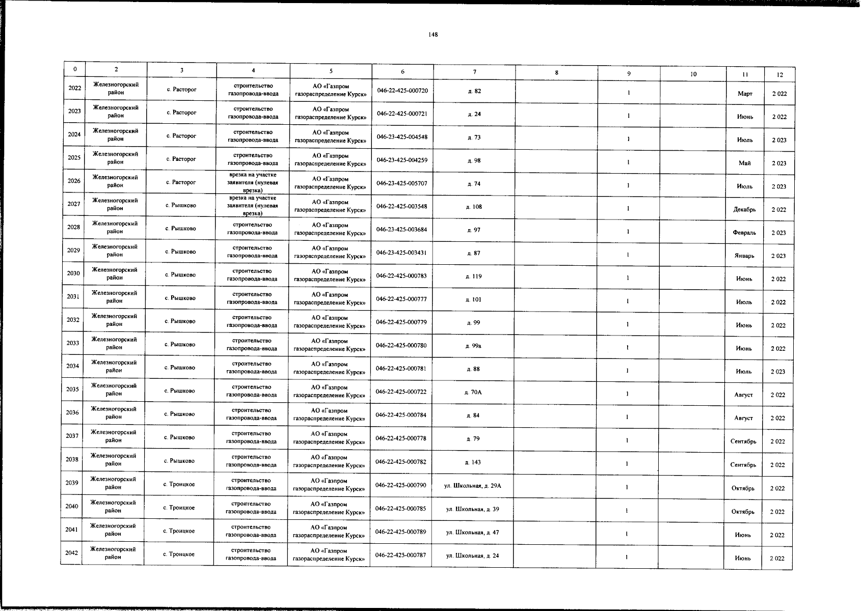
"О внесении изменении в постановление Администрации Курской области от 29.11.2019 № 1185-па "Об утверждении Региональной программы газификации жилищно-коммунального хозяйства, промышленных и иных организаций Курской области на 2021-2030 годы"
Номер опубликования: 4600202408050001
Дата опубликования: 05.08.2024
Страница №149 из 440:
Увеличить