Официальное опубликование правовых актов
ОФИЦИАЛЬНОЕ ОПУБЛИКОВАНИЕ
Постановление Правительства Курской области от 31.05.2024 № 423-пп
"О внесении изменений в постановление Администрации Курской области от 28.06.2019 № 587-па"
Номер опубликования: 4600202406060001
Дата опубликования: 06.06.2024
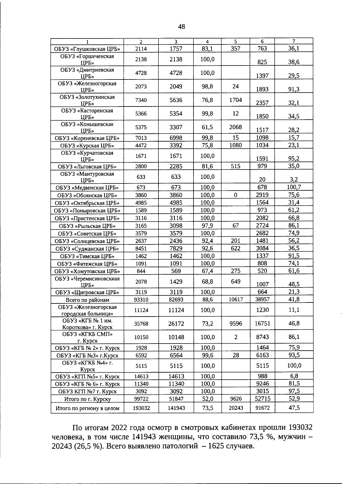
Страница №49 из 186:
Увеличить