Официальное опубликование правовых актов
ОФИЦИАЛЬНОЕ ОПУБЛИКОВАНИЕ
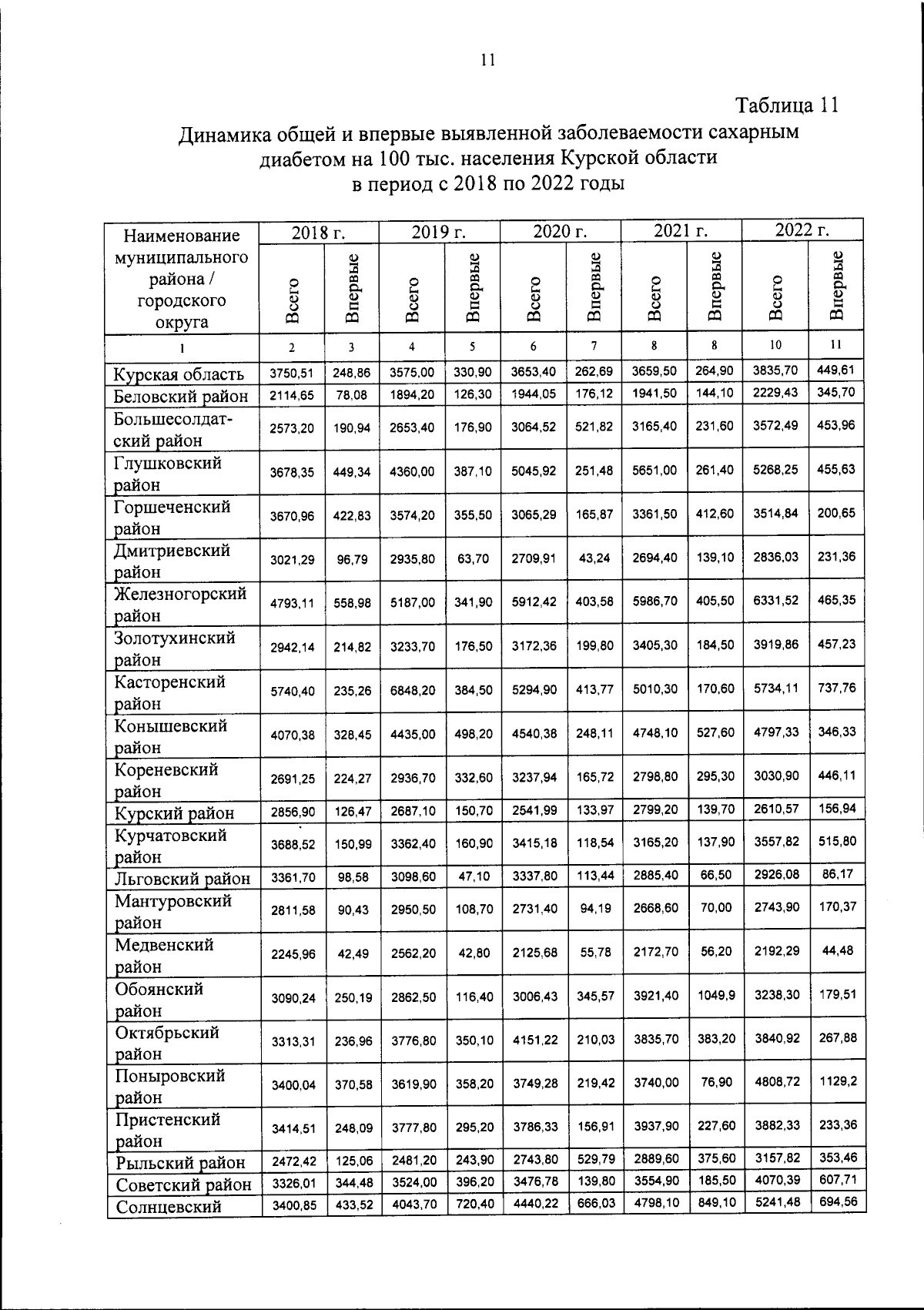
Постановление Правительства Курской области от 14.02.2024 № 113-пп
"Об утверждении региональной программы "Борьба с сахарным диабетом"
Номер опубликования: 4600202402160008
Дата опубликования: 16.02.2024
Страница №12 из 79:
Увеличить