Официальное опубликование правовых актов
ОФИЦИАЛЬНОЕ ОПУБЛИКОВАНИЕ
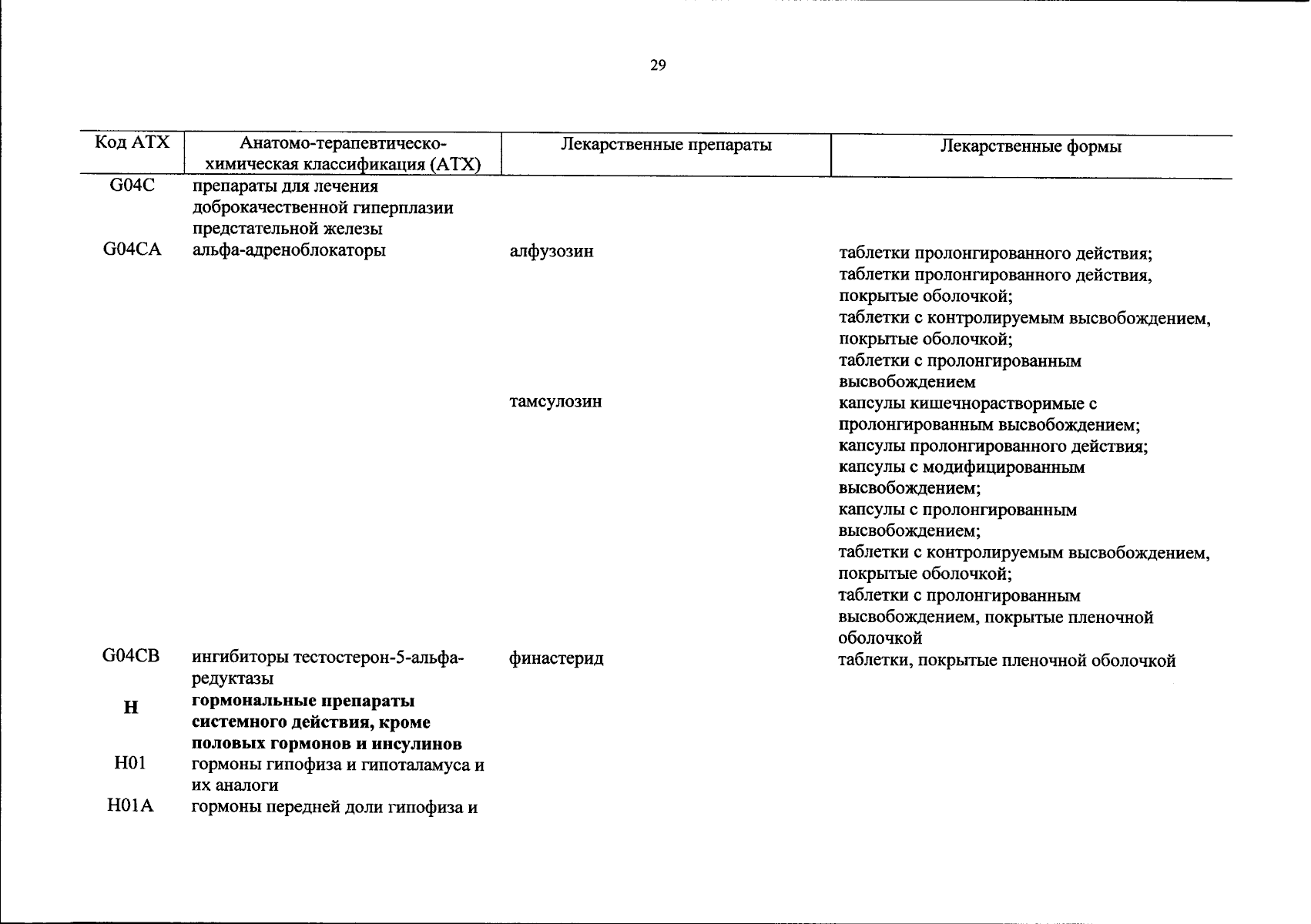
Постановление Правительства Курской области от 27.12.2023 № 1431-пп
"Об утверждении территориальной программы государственных гарантий бесплатного оказания гражданам медицинской помощи в Курской области на 2024 год и на плановый период 2025 и 2026 годов"
Номер опубликования: 4600202401020017
Дата опубликования: 02.01.2024
Страница №127 из 187:
Увеличить