Официальное опубликование правовых актов
ОФИЦИАЛЬНОЕ ОПУБЛИКОВАНИЕ
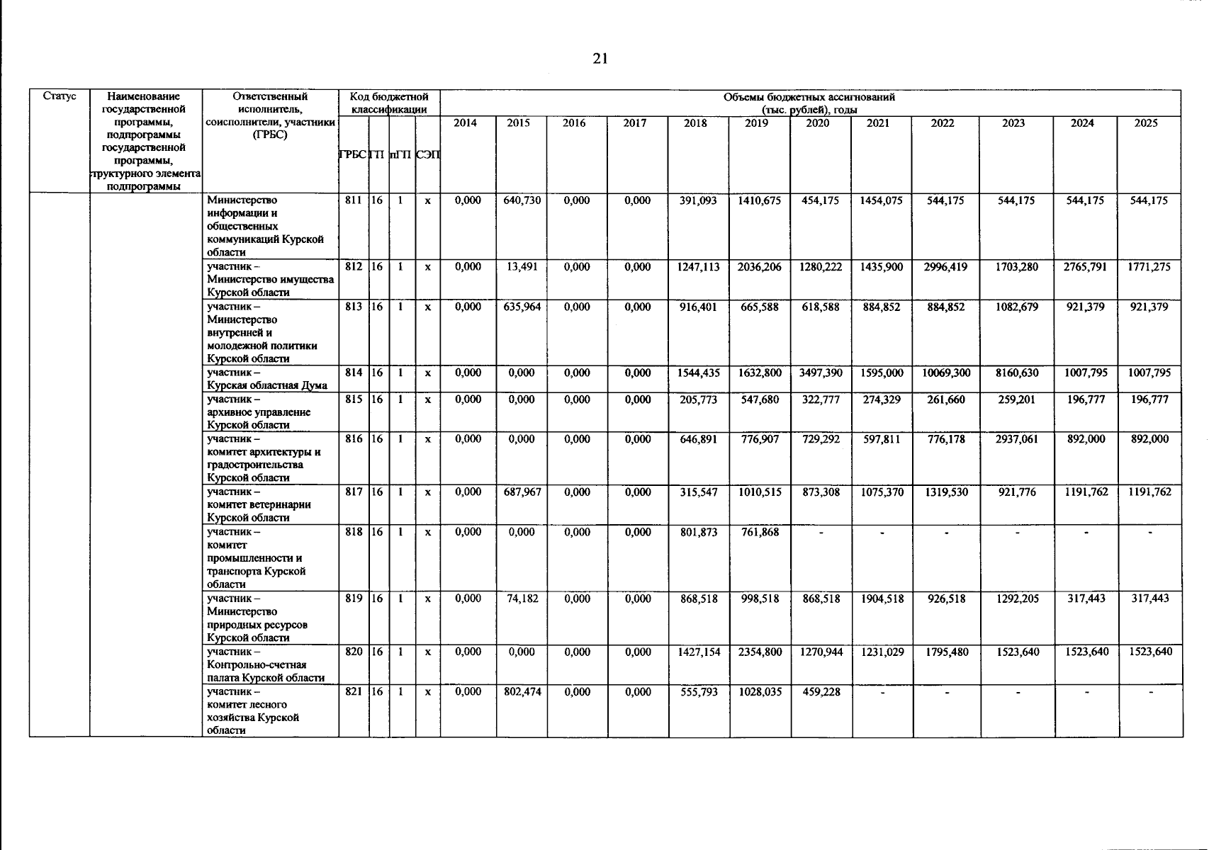
Постановление Правительства Курской области от 27.12.2023 № 1436-пп
"О внесении изменений в государственную программу Курской области "Развитие информационного общества в Курской области"
Номер опубликования: 4600202401020015
Дата опубликования: 02.01.2024
Страница №23 из 46:
Увеличить