Официальное опубликование правовых актов
ОФИЦИАЛЬНОЕ ОПУБЛИКОВАНИЕ
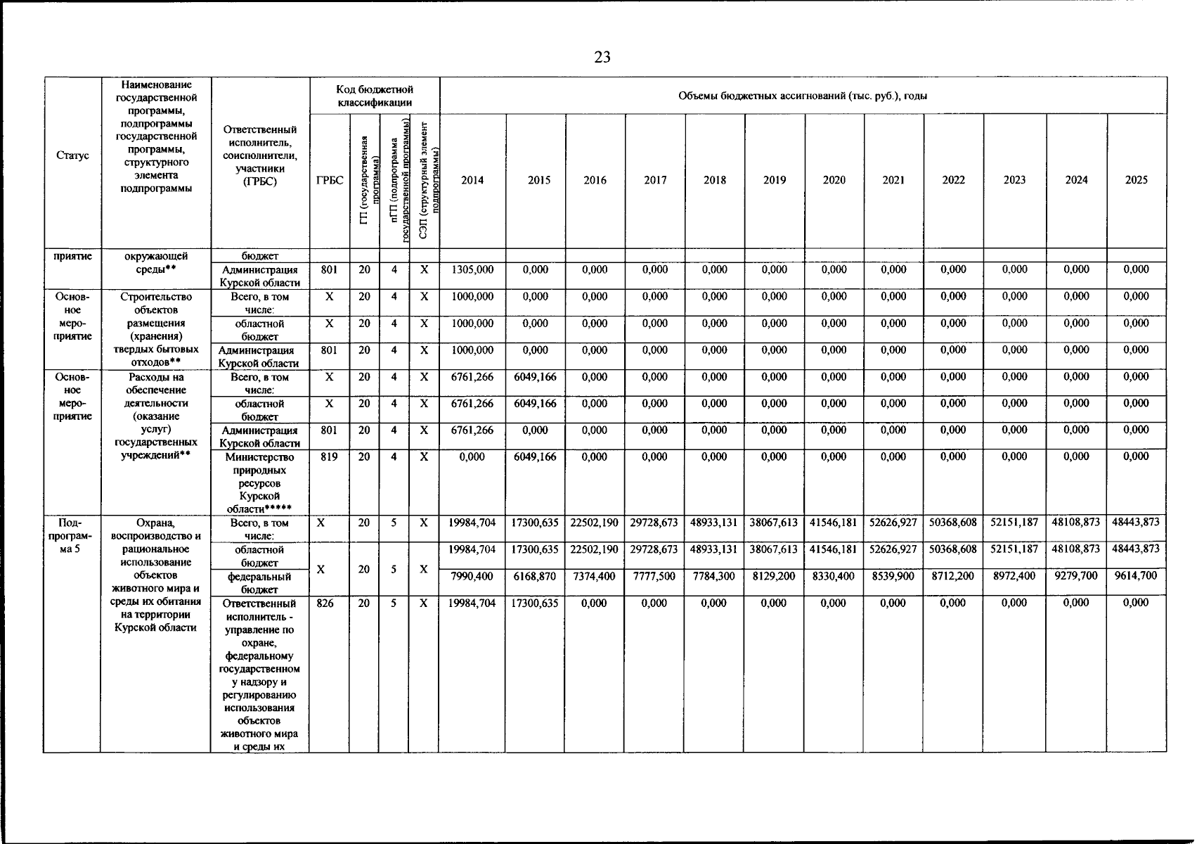
Постановление Правительства Курской области от 26.12.2023 № 1415-пп
"О внесении изменений в государственную программу Курской области "Воспроизводство и использование природных ресурсов, охрана окружающей среды в Курской области"
Номер опубликования: 4600202401010007
Дата опубликования: 01.01.2024
Страница №25 из 48:
Увеличить