Официальное опубликование правовых актов
ОФИЦИАЛЬНОЕ ОПУБЛИКОВАНИЕ
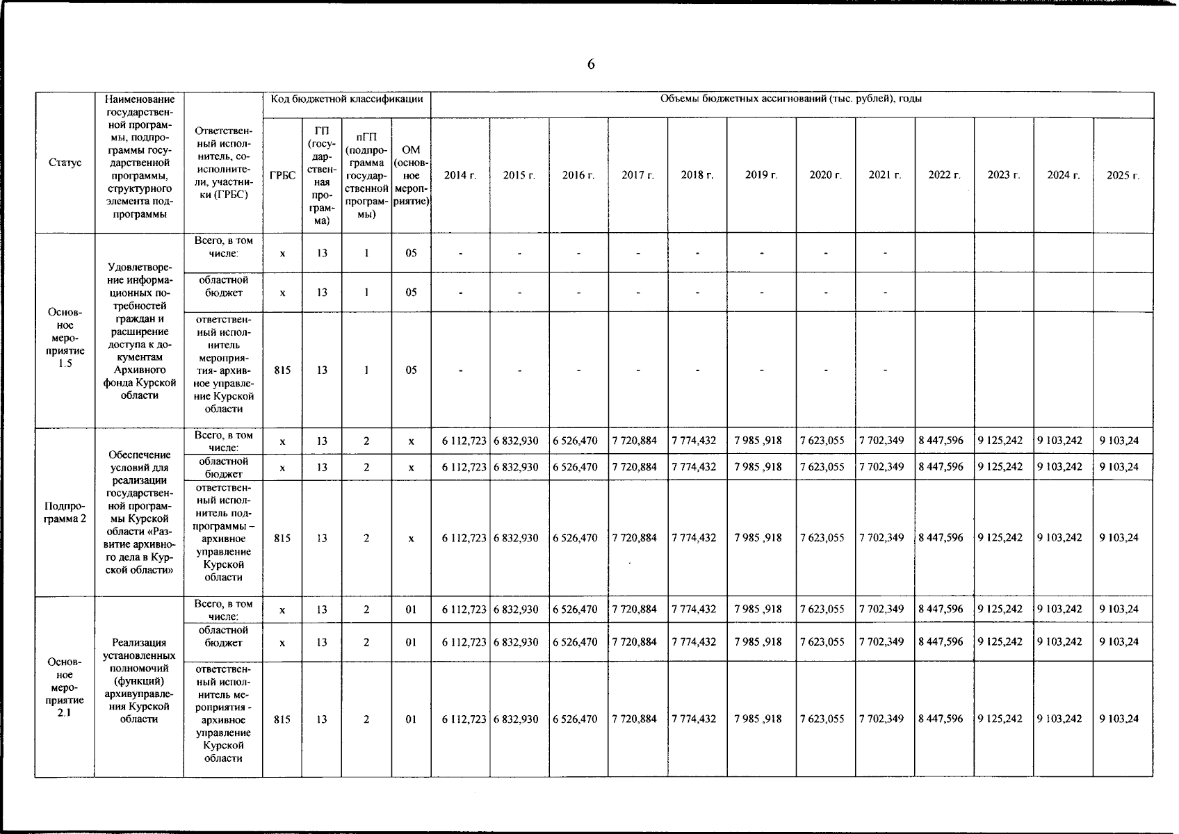
Постановление Правительства Курской области от 26.12.2023 № 1413-пп
"О внесении изменений в государственную программу Курской области "Развитие архивного дела в Курской области"
Номер опубликования: 4600202401010003
Дата опубликования: 01.01.2024
Страница №7 из 22:
Увеличить