Официальное опубликование правовых актов
ОФИЦИАЛЬНОЕ ОПУБЛИКОВАНИЕ
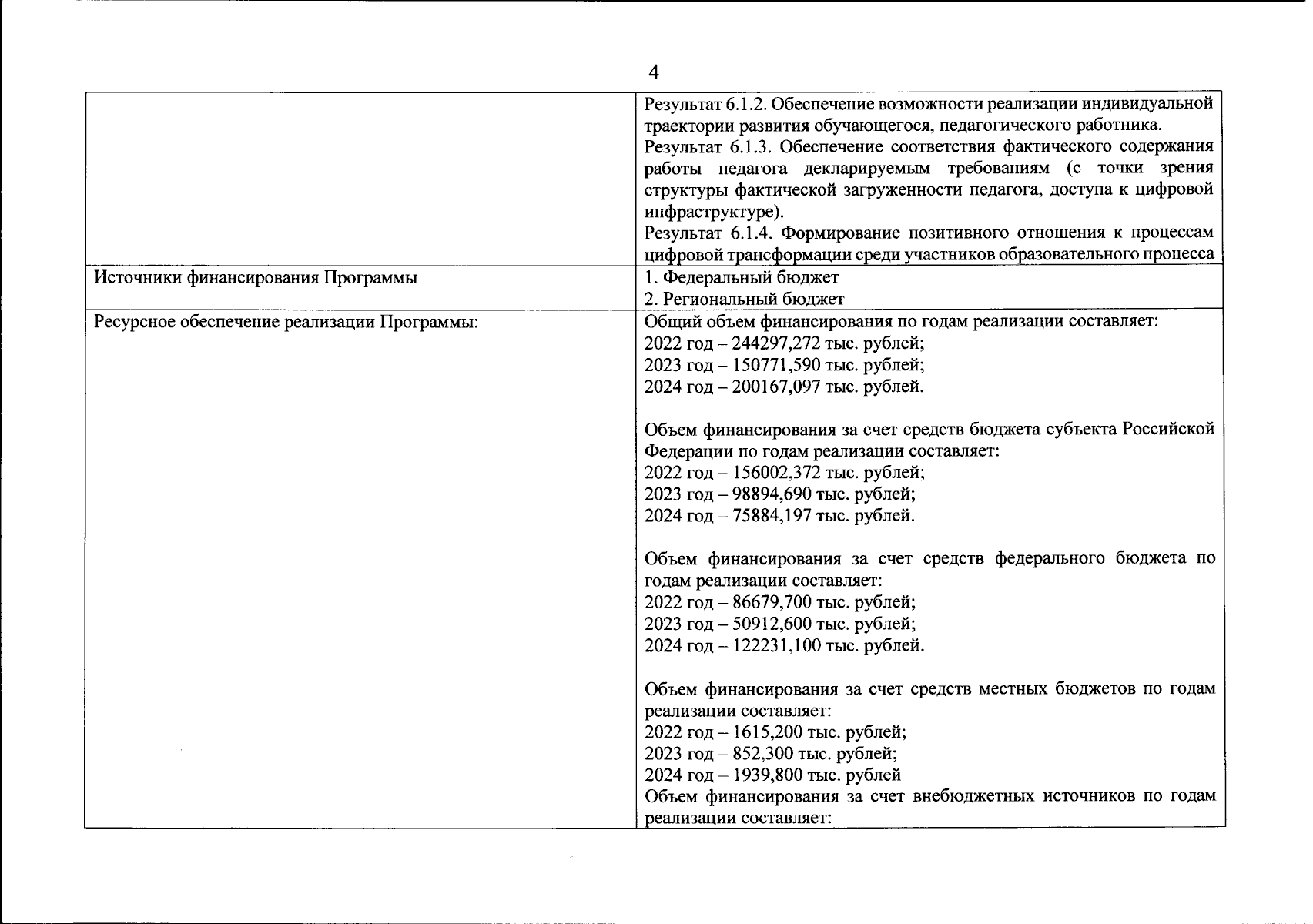
Постановление Правительства Курской области от 21.12.2023 № 1379-пп
"О внесении изменений в программу цифровой трансформации ключевых отраслей экономики, социальной сферы и государственного управления Курской области на период с 2022 по 2024 годы"
Номер опубликования: 4600202312280015
Дата опубликования: 28.12.2023
Страница №5 из 59:
Увеличить