Официальное опубликование правовых актов
ОФИЦИАЛЬНОЕ ОПУБЛИКОВАНИЕ
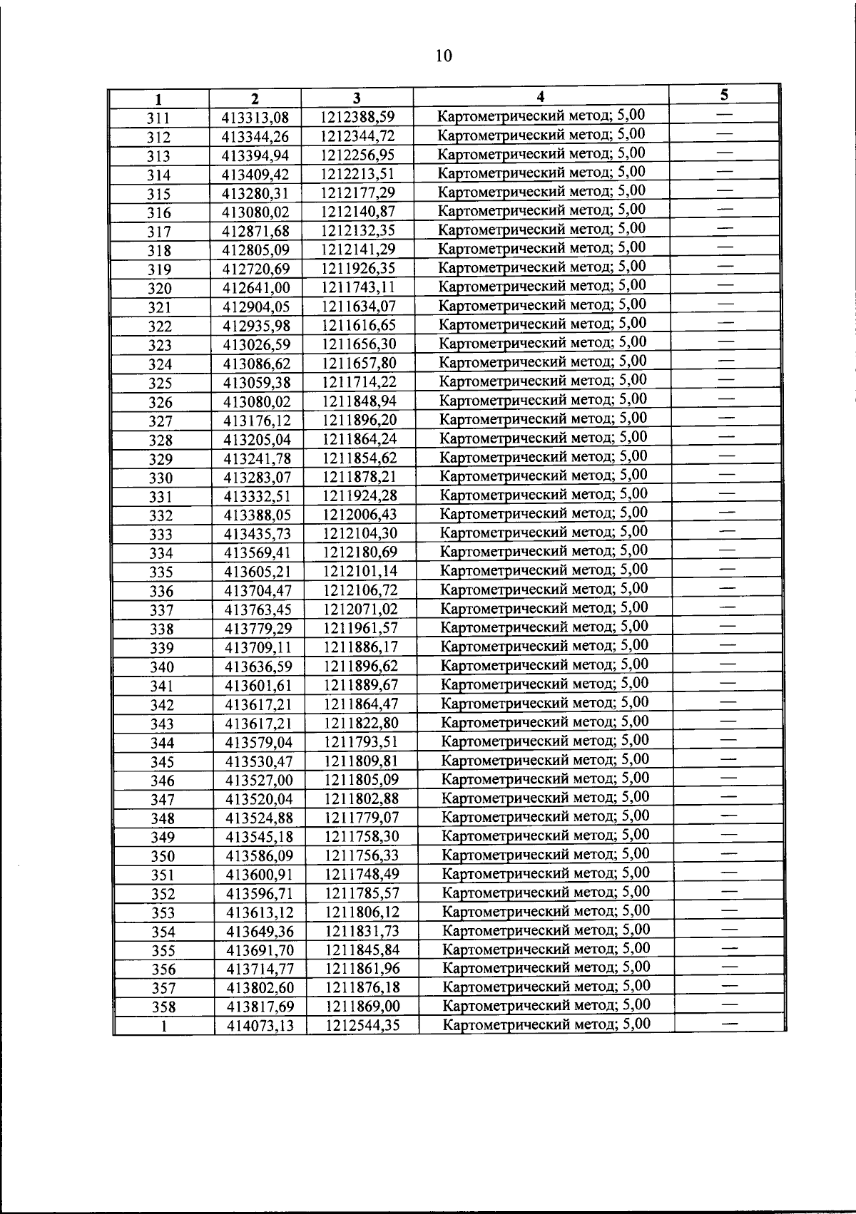
Постановление Правительства Курской области от 20.12.2023 № 1334-пп
"О памятнике природы регионального значения "Банищанский лес"
Номер опубликования: 4600202312260014
Дата опубликования: 26.12.2023
Страница №28 из 28:
Увеличить