Официальное опубликование правовых актов
ОФИЦИАЛЬНОЕ ОПУБЛИКОВАНИЕ
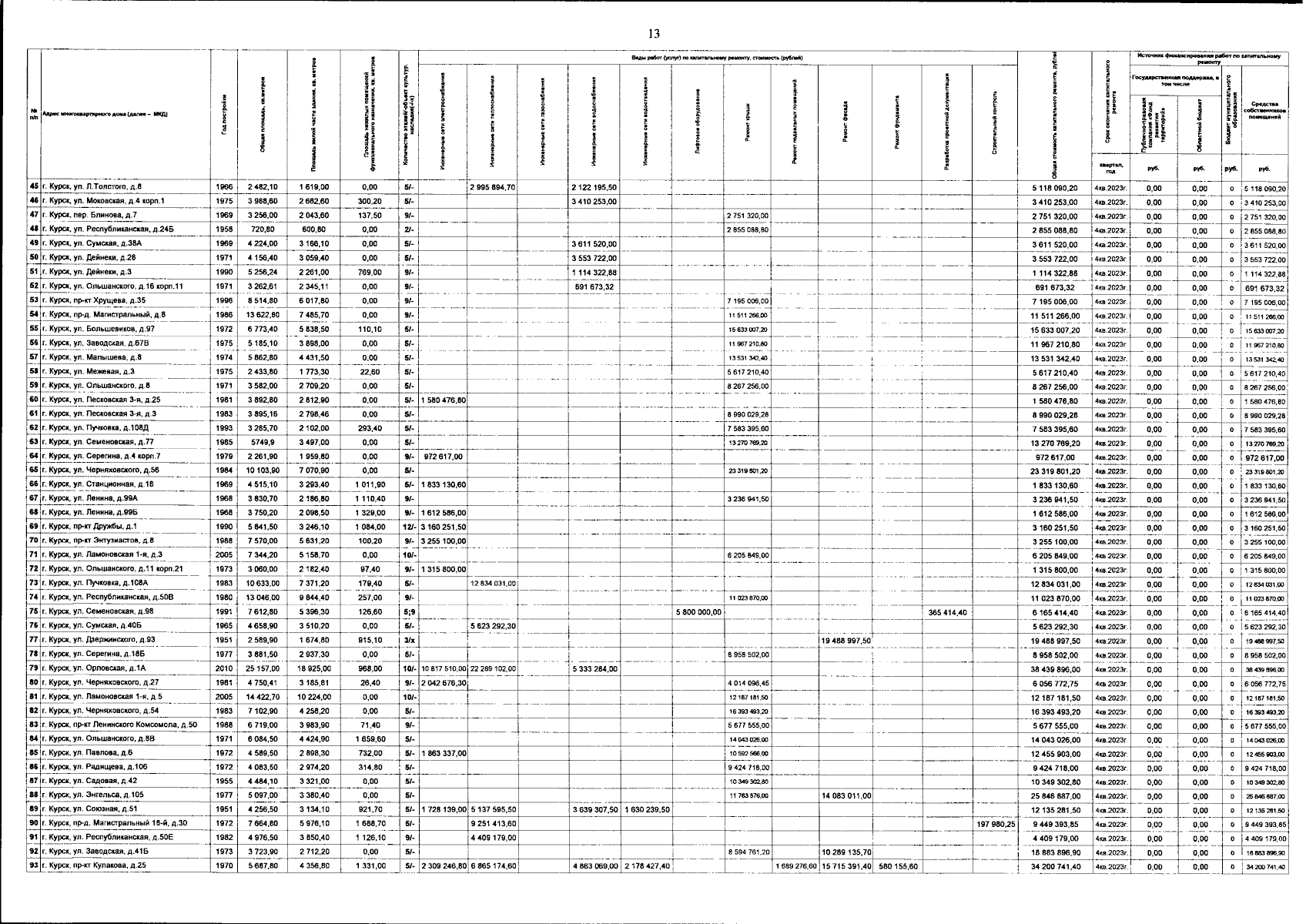
Постановление Правительства Курской области от 20.12.2023 № 1351-пп
"О внесении изменений в краткосрочный план реализации Региональной программы капитального ремонта общего имущества в многоквартирных домах, расположенных на территории Курской области, на 2020 - 2022 годы"
Номер опубликования: 4600202312260012
Дата опубликования: 26.12.2023
Страница №14 из 17:
Увеличить