Официальное опубликование правовых актов
ОФИЦИАЛЬНОЕ ОПУБЛИКОВАНИЕ
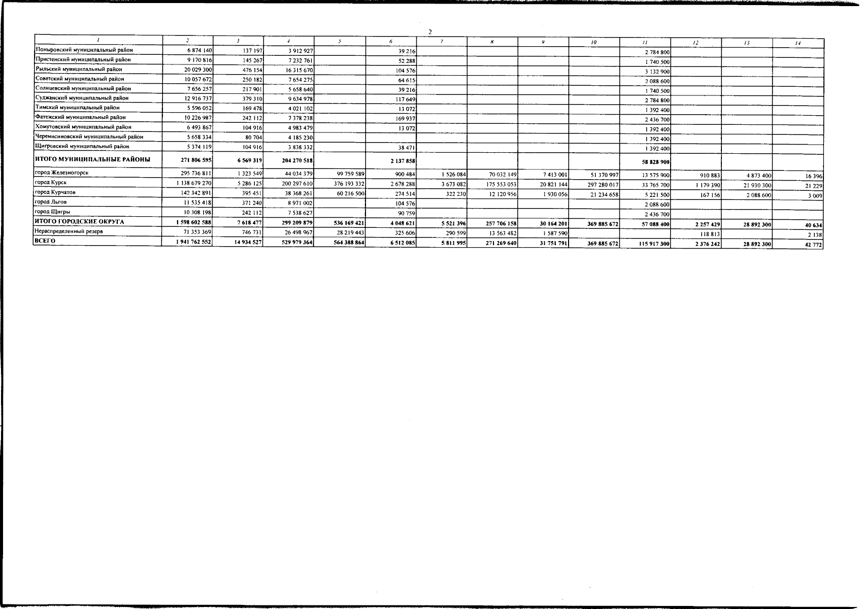
Закон Курской области от 13.12.2023 № 109-ЗКО
"Об областном бюджете на 2024 год и на плановый период 2025 и 2026 годов"
Номер опубликования: 4600202312140001
Дата опубликования: 14.12.2023
Страница №424 из 483:
Увеличить