Официальное опубликование правовых актов
ОФИЦИАЛЬНОЕ ОПУБЛИКОВАНИЕ
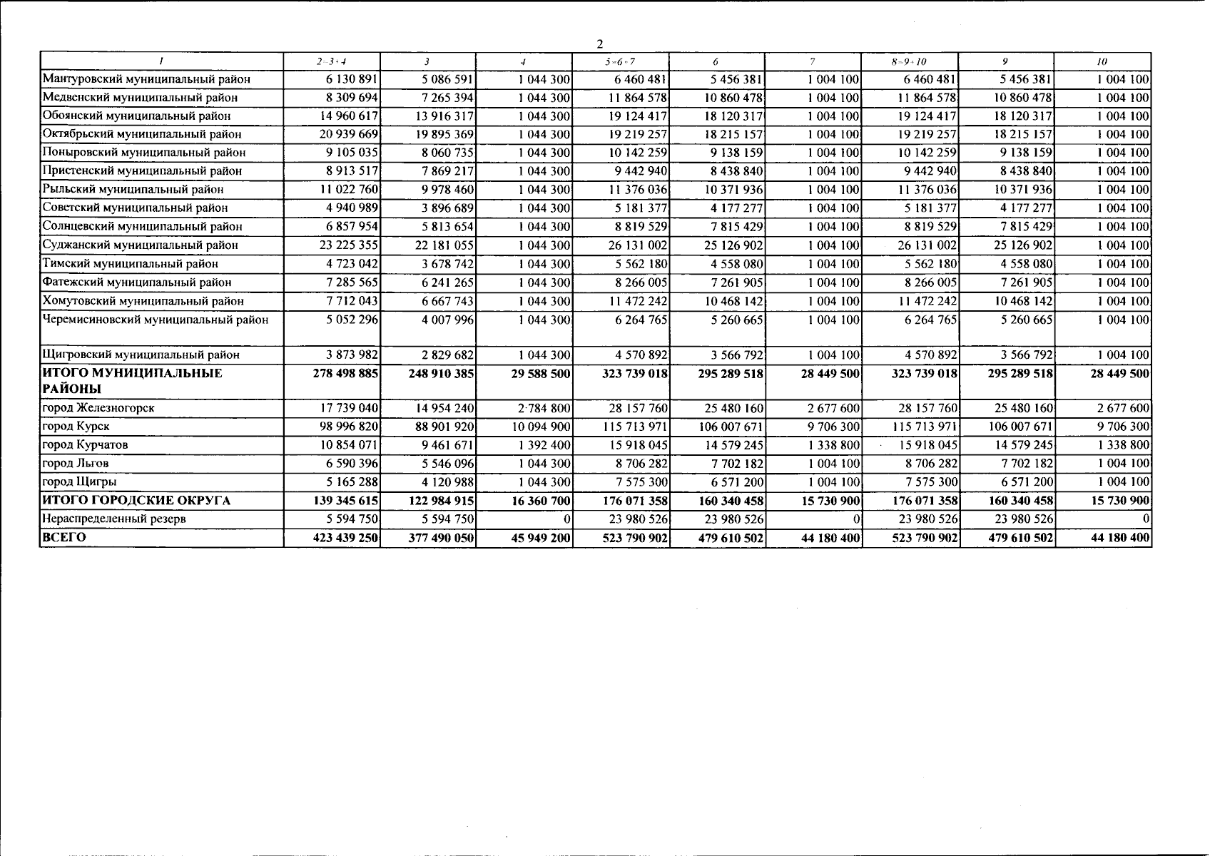
Закон Курской области от 11.12.2023 № 108-ЗКО
"О внесении изменений в Закон Курской области "Об областном бюджете на 2023 год и на плановый период 2024 и 2025 годов"
Номер опубликования: 4600202312110005
Дата опубликования: 11.12.2023
Страница №495 из 528:
Увеличить