Официальное опубликование правовых актов
ОФИЦИАЛЬНОЕ ОПУБЛИКОВАНИЕ
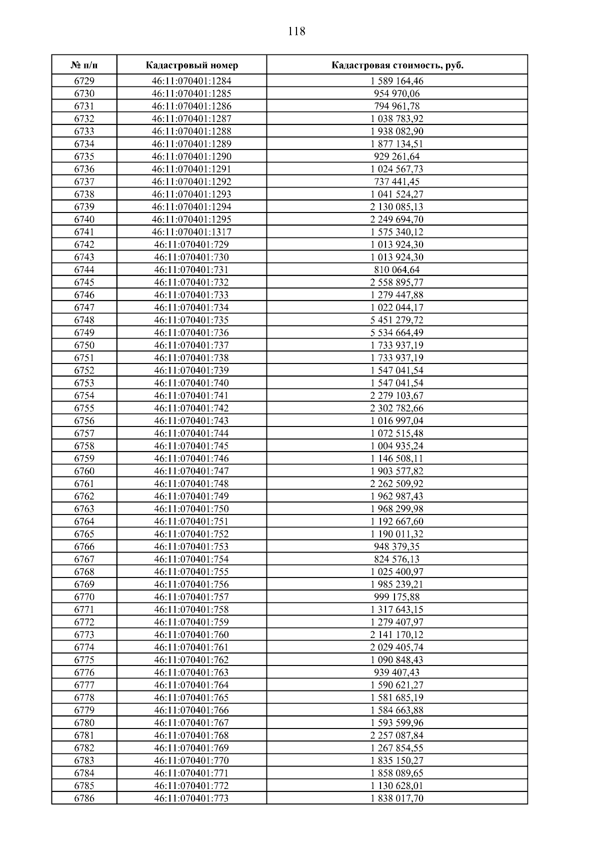
Постановление Правительства Курской области от 27.11.2023 № 1217-пп
"Об утверждении результатов определения кадастровой стоимости в отношении всех учтенных в Едином государственном реестре недвижимости зданий, помещений, сооружений, объектов незавершенного строительства, машино-мест на территории Курской области"
Номер опубликования: 4600202311280001
Дата опубликования: 28.11.2023
Страница №119 из 15151:
Увеличить