Официальное опубликование правовых актов
ОФИЦИАЛЬНОЕ ОПУБЛИКОВАНИЕ
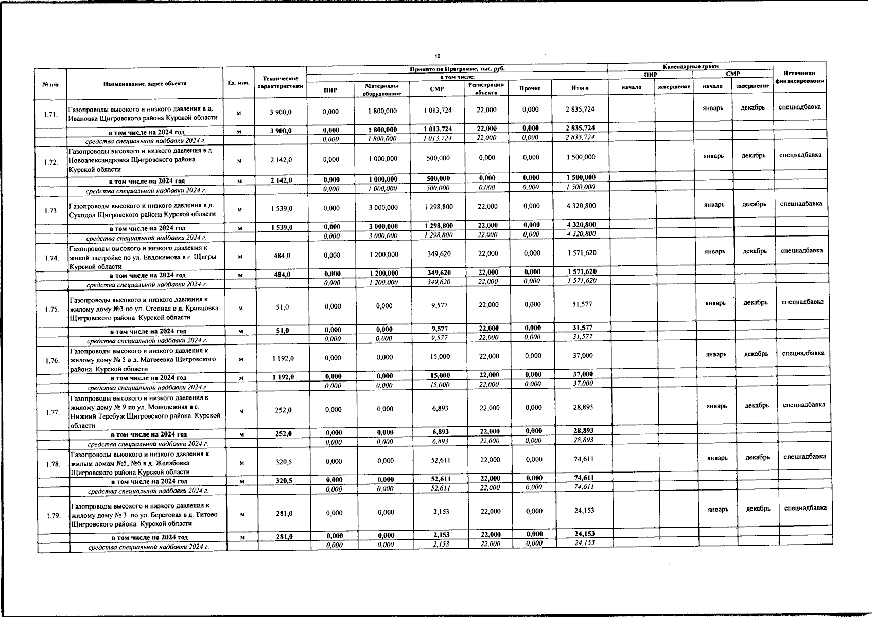
Постановление Правительства Курской области от 13.11.2023 № 1172-пп
"Об утверждении Программы газификации Курской области на 2024 год, финансируемой за счет средств специальной надбавки к тарифам на транспортировку газа по газораспределительным сетям"
Номер опубликования: 4600202311170008
Дата опубликования: 17.11.2023
Страница №12 из 19:
Увеличить