Официальное опубликование правовых актов
ОФИЦИАЛЬНОЕ ОПУБЛИКОВАНИЕ
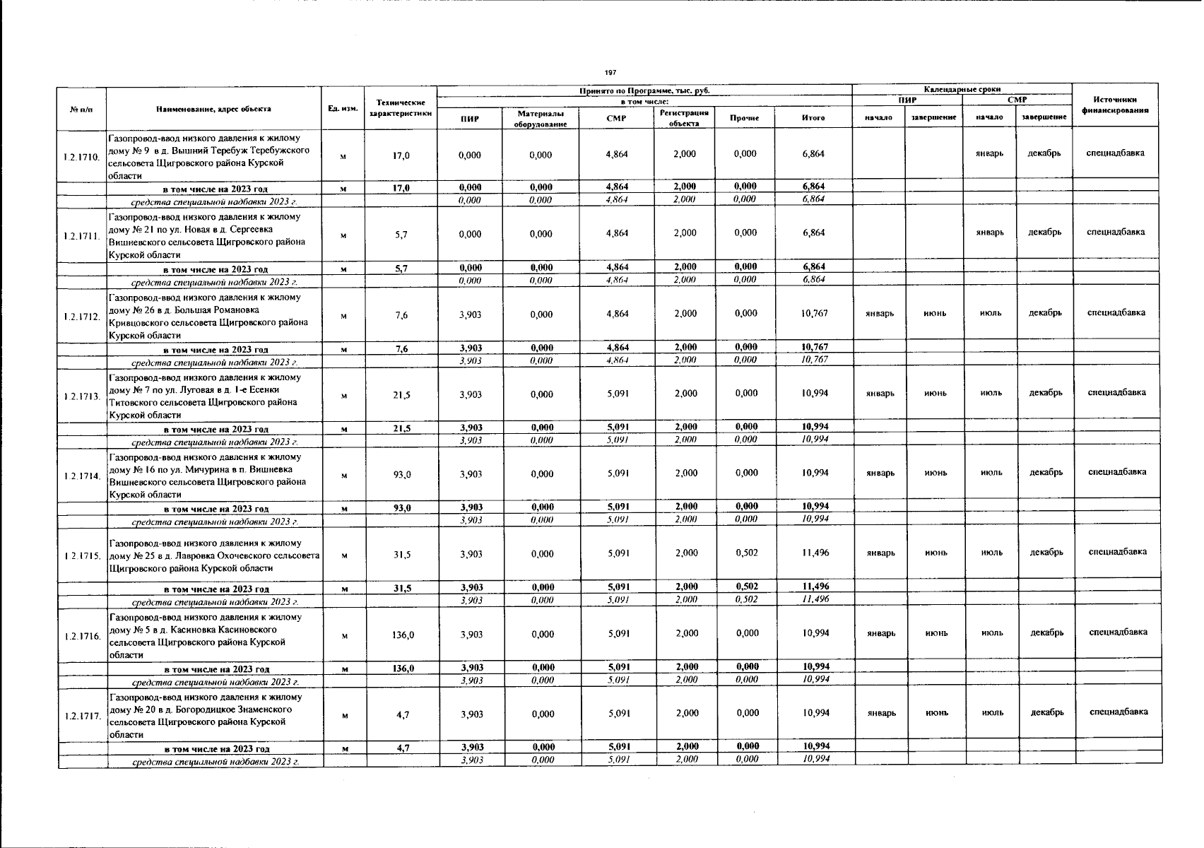
Постановление Правительства Курской области от 13.11.2023 № 1168-пп
"О внесении изменений в постановление Администрации Курской области от 31.10.2022 № 1204-па"
Номер опубликования: 4600202311170005
Дата опубликования: 17.11.2023
Страница №198 из 212:
Увеличить