Официальное опубликование правовых актов
ОФИЦИАЛЬНОЕ ОПУБЛИКОВАНИЕ
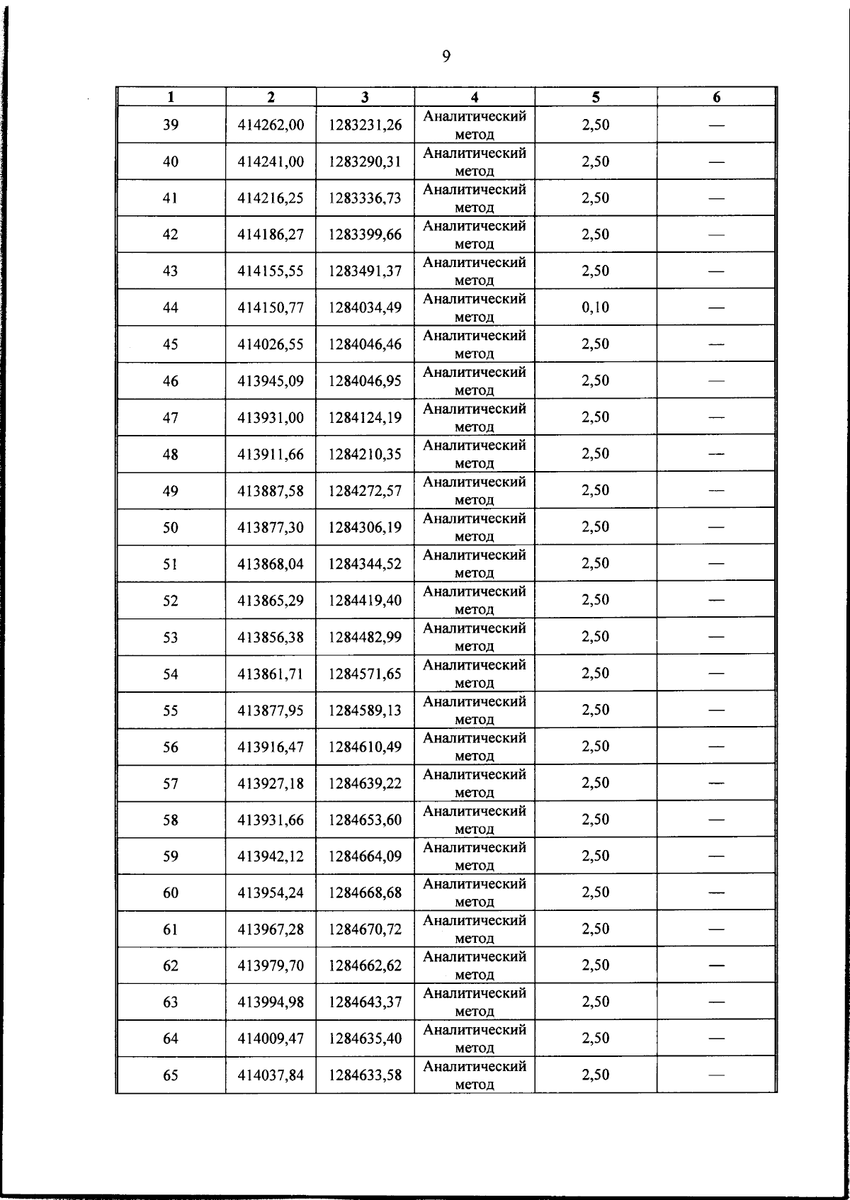
Постановление Губернатора Курской области от 03.11.2023 № 338-пг
"Об установлении охранной зоны памятника природы регионального значения "Ванинская пойма"
Номер опубликования: 4600202311080002
Дата опубликования: 08.11.2023
Страница №15 из 50:
Увеличить