Официальное опубликование правовых актов
ОФИЦИАЛЬНОЕ ОПУБЛИКОВАНИЕ
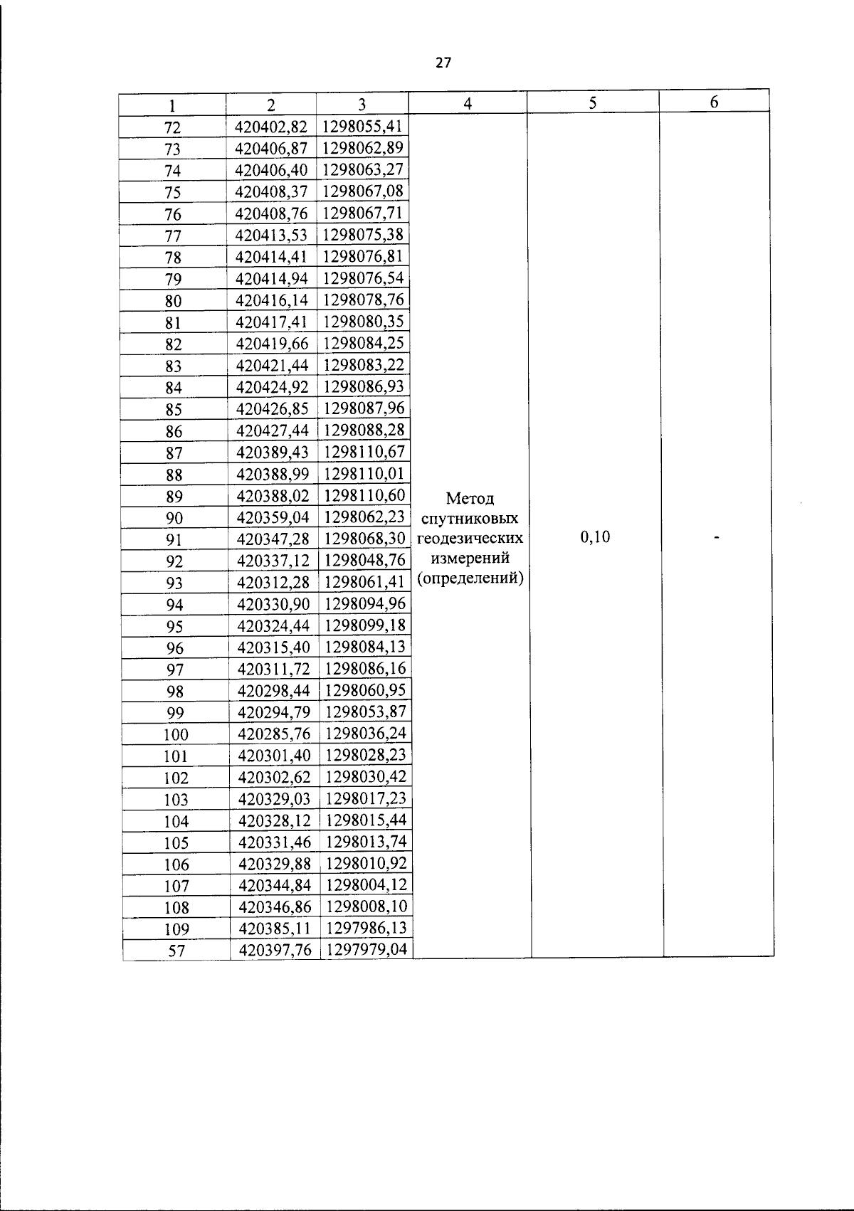
Постановление Правительства Курской области от 25.10.2023 № 1115-пп
"Об установлении границ объединенной зоны охраны объектов культурного наследия, расположенных на территории города Курска, и утверждении требований к градостроительным регламентам в границах территорий данной зоны"
Номер опубликования: 4600202310300004
Дата опубликования: 30.10.2023
Страница №30 из 113:
Увеличить