Официальное опубликование правовых актов
ОФИЦИАЛЬНОЕ ОПУБЛИКОВАНИЕ
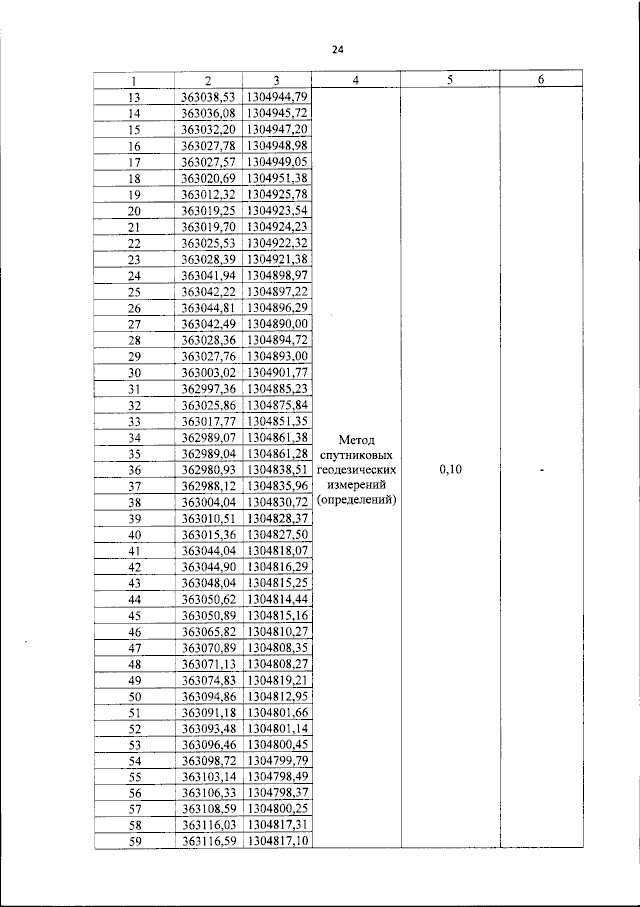
Постановление Правительства Курской области от 02.08.2023 № 858-пп
"Об установлении границ объединенной зоны охраны объектов культурного наследия, расположенных на территории города Обоянь Курской области, и утверждении требований к градостроительным регламентам в границах территорий данной зоны"
Номер опубликования: 4600202308090008
Дата опубликования: 09.08.2023
Страница №26 из 78:
Увеличить