Официальное опубликование правовых актов
ОФИЦИАЛЬНОЕ ОПУБЛИКОВАНИЕ
Распоряжение Губернатора Курской области от 12.07.2023 № 222-рг
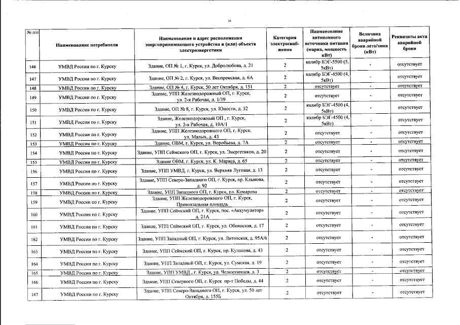
"Об утверждении Перечня потребителей электрической энергии, ограничение режима потребления электроэнергии которых может привести к экономическим, экологическим или социальным последствиям на территории Курской области, на 2023-2024 годы"
Номер опубликования: 4600202307170001
Дата опубликования: 17.07.2023
Страница №39 из 187:
Увеличить