Официальное опубликование правовых актов
ОФИЦИАЛЬНОЕ ОПУБЛИКОВАНИЕ
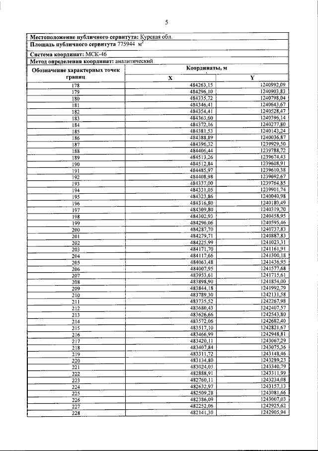
Постановление Правительства Курской области от 28.06.2023 № 708-пп
"Об установлении публичных сервитутов для использования земельных участков в целях эксплуатации существующих объектов энергетики регионального значения"
Номер опубликования: 4600202307030001
Дата опубликования: 03.07.2023
Страница №37 из 55:
Увеличить