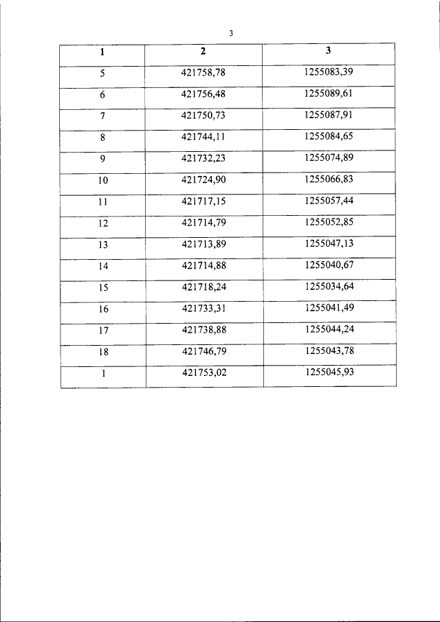
Постановление Правительства Курской области от 11.04.2023 № 447-пп
"Об установлении зон охраны объекта культурного наследия регионального значения "Братская могила воинов Советской Армии, погибших в период Великой Отечественной войны, и мирных жителей, расстрелянных немецкими оккупантами. Захоронено 39 человек, установлено фамилий на 11 человек. Скульптура установлена в 1965 году", 1941-1945 гг., 1965 г., расположенного по адресу: Курская область, Курчатовский район, д. Кожля, и утверждении требований к градостроительным регламентам в границах территорий данных зон"
"Об установлении зон охраны объекта культурного наследия регионального значения "Братская могила воинов Советской Армии, погибших в период Великой Отечественной войны, и мирных жителей, расстрелянных немецкими оккупантами. Захоронено 39 человек, установлено фамилий на 11 человек. Скульптура установлена в 1965 году", 1941-1945 гг., 1965 г., расположенного по адресу: Курская область, Курчатовский район, д. Кожля, и утверждении требований к градостроительным регламентам в границах территорий данных зон"
Номер опубликования: 4600202304140016
Дата опубликования:
14.04.2023
