Официальное опубликование правовых актов
ОФИЦИАЛЬНОЕ ОПУБЛИКОВАНИЕ
Постановление Правительства Курской области от 29.03.2023 № 374-пп
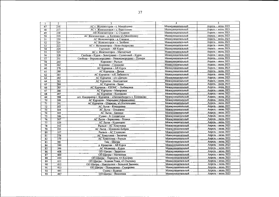
"О внесении изменений в постановление Администрации Курской области от 10.01.2022 № 4-па "Об утверждении документа планирования регулярных перевозок пассажиров и багажа по межмуниципальным маршрутам в Курской области и муниципальным маршрутам в границах городского округа "Город Курск" с 1 января 2022 года по 31 декабря 2024 года"
Номер опубликования: 4600202304050012
Дата опубликования: 05.04.2023
Страница №39 из 50:
Увеличить